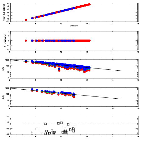
Left plots: red are targets, blue are telluric. Observed mags are calculated from median value of green chip. Zeropoint gives overall throughput: bigger number is more throughput.
First spatial plots: circles are objects, squares are tellurics, crosses are sky fibers. Colors give deviation of observed mag from expected 2MASS mag using the median zeropoint; red is brighter
Second spatial plots: circles are sky fibers. Colors give sky line brightness relative to plate median sky line brightness
FrameNreadsZeropointsMag plots Spatial mag deviation Spatial sky 16325A emission deviations (filled: sky, open: star) Spatial sky continuum emission Spatial sky telluric CO2 absorption deviations (filled: H < 10)
0 0
RedGreenBlue
z17.64
znorm Inf
sky -NaN -Inf -Inf
S/N 27.3 48.8 53.2
S/N(c) 0.0 0.0 0.0
SN(E/C) 0.28

IPAIRNAMESHIFTNEWSHIFTS/N NAMESHIFTNEWSHIFTS/N
0 10820093 0.488788 0.00000 18.9800 10820087 0.00000 0.488788 18.8942
1 10820092 0.488376 0.000412017 19.0422 10820091 -0.000942114 0.489730 19.0249
2 10820089 0.488010 0.000778019 19.0130 10820090 -0.000767272 0.489555 19.0056
3 10820088 0.487164 0.00162402 18.9532 10820094 -0.00232174 0.491110 18.6585
4 10820096 0.488061 0.000726998 18.6296 10820095 -0.00205543 0.490843 18.4640