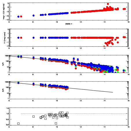
Left plots: red are targets, blue are telluric. Observed mags are calculated from median value of green chip. Zeropoint gives overall throughput: bigger number is more throughput.
First spatial plots: circles are objects, squares are tellurics, crosses are sky fibers. Colors give deviation of observed mag from expected 2MASS mag using the median zeropoint; red is brighter
Second spatial plots: circles are sky fibers. Colors give sky line brightness relative to plate median sky line brightness
FrameNreadsZeropointsMag plots Spatial mag deviation Spatial sky 16325A emission deviations (filled: sky, open: star) Spatial sky continuum emission Spatial sky telluric CO2 absorption deviations (filled: H < 10)
0 0
RedGreenBlue
z17.63
znorm Inf
sky -Inf -NaN -NaN
S/N 21.8 40.2 41.3
S/N(c) 21.1 53.2112.1
SN(E/C) 0.82

IPAIRNAMESHIFTNEWSHIFTS/N NAMESHIFTNEWSHIFTS/N
0 03340038 0.508907 0.00000 18.5968 03340039 0.00253554 0.506371 18.5860
1 03340037 0.507961 0.000946045 18.6022 03340036 0.00000 0.508907 18.6397
2 03340041 0.505377 0.00353003 18.5935 03340040 0.00215347 0.506754 18.5767
3 03340042 0.506664 0.00224304 18.5132 03340043 0.00317326 0.505734 18.1645