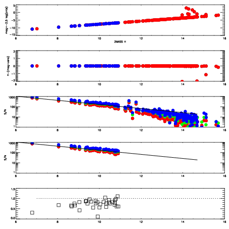
Left plots: red are targets, blue are telluric. Observed mags are calculated from median value of green chip. Zeropoint gives overall throughput: bigger number is more throughput.
First spatial plots: circles are objects, squares are tellurics, crosses are sky fibers. Colors give deviation of observed mag from expected 2MASS mag using the median zeropoint; red is brighter
Second spatial plots: circles are sky fibers. Colors give sky line brightness relative to plate median sky line brightness
FrameNreadsZeropointsMag plots Spatial mag deviation Spatial sky 16325A emission deviations (filled: sky, open: star) Spatial sky continuum emission Spatial sky telluric CO2 absorption deviations (filled: H < 10)
0 0
RedGreenBlue
z17.63
znorm Inf
sky -NaN -NaN -Inf
S/N 29.4 53.8 55.6
S/N(c) 28.8 73.3155.9
SN(E/C) 0.76

IPAIRNAMESHIFTNEWSHIFTS/N NAMESHIFTNEWSHIFTS/N
0 03410029 0.506032 0.00000 18.5401 03410040 0.00258770 0.503444 18.4506
1 03410028 0.500186 0.00584596 18.5643 03410023 0.00000 0.506032 18.5690
2 03410025 0.504316 0.00171602 18.5641 03410041 0.00247261 0.503559 18.4564
3 03410024 0.501921 0.00411099 18.5037 03410037 0.00139210 0.504640 18.4262
4 03410039 0.501964 0.00406802 18.4690 03410026 0.00285959 0.503172 18.4248
5 03410042 0.499662 0.00636998 18.4530 03410030 0.00352138 0.502511 18.3763
6 03410038 0.501337 0.00469500 18.4160 03410044 0.00251865 0.503513 18.3100
7 03410043 0.503296 0.00273597 18.3803 03410027 0.00174711 0.504285 18.2013