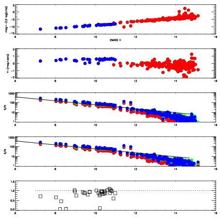
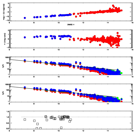
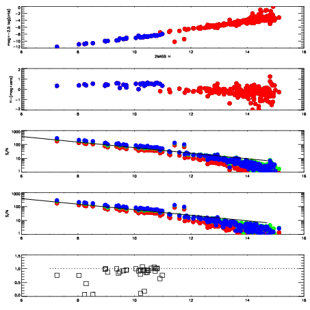
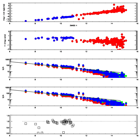
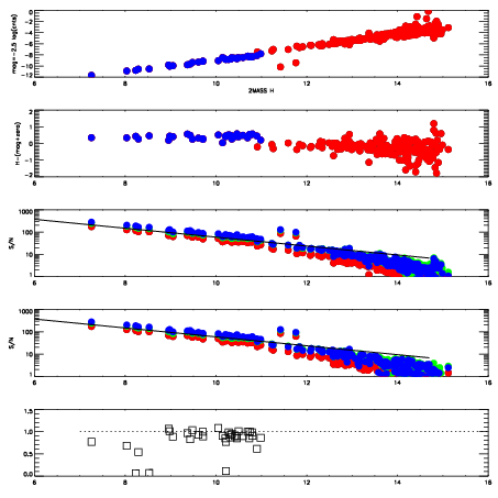
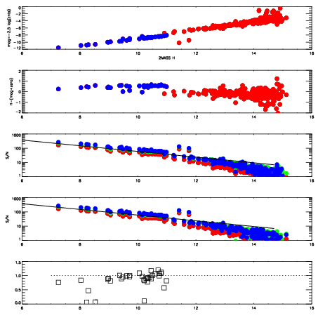
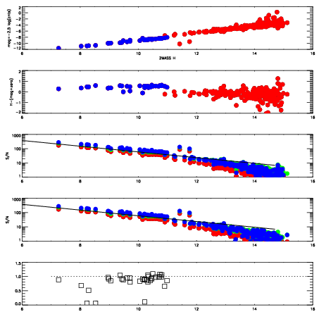
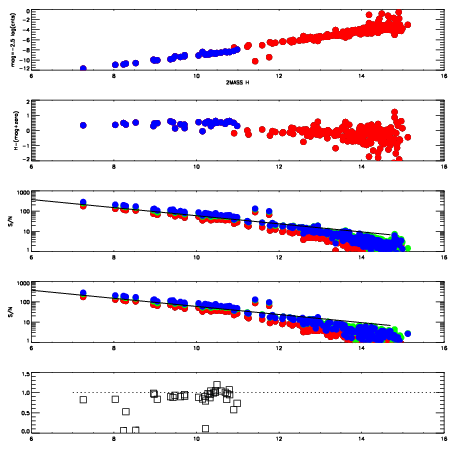
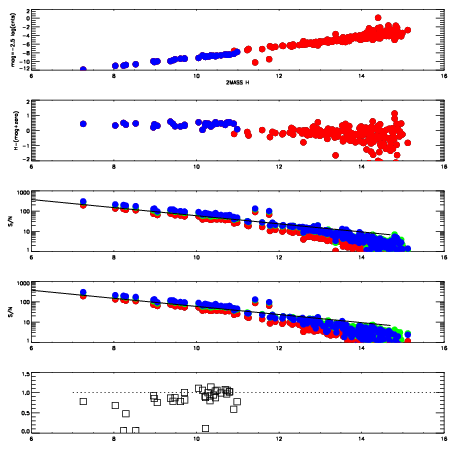
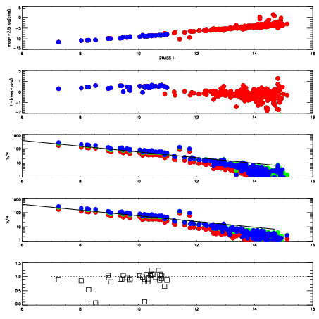
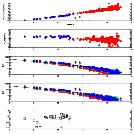
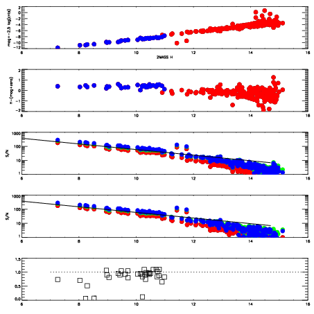
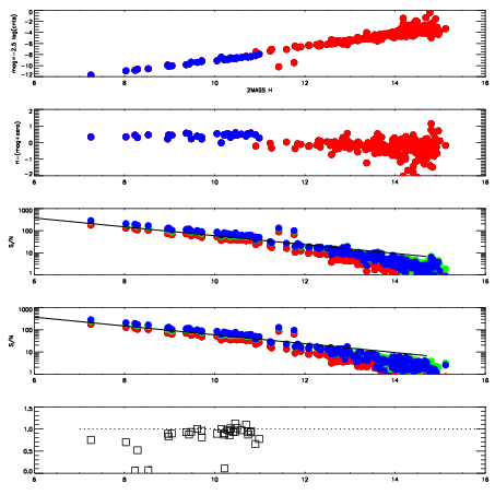
Frame | Nreads | Zeropoints | Mag plots
| Spatial mag deviation
| Spatial sky 16325A emission deviations (filled: sky, open: star)
| Spatial sky continuum emission
| Spatial sky telluric CO2 absorption deviations (filled: H < 10)
|
3060036
| 47
| | Red | Green | Blue
| z | | 18.69
| znorm | | 14.51
| sky | 15.1 | 14.7 | 14.6
| S/N | 14.1 | 22.7 | 23.6
| S/N(c) | 7.3 | 25.5 | 18.6
| SN(E/C) | 0.88
|
|
|
|
|
|
|
3060037
| 47
| | Red | Green | Blue
| z | | 18.68
| znorm | | 14.50
| sky | 15.1 | 14.8 | 15.1
| S/N | 14.3 | 22.8 | 23.8
| S/N(c) | 7.5 | 25.9 | 18.8
| SN(E/C) | 0.89
|
|
|
|
|
|
|
3060038
| 47
| | Red | Green | Blue
| z | | 18.54
| znorm | | 14.36
| sky | 15.0 | 14.9 | 15.1
| S/N | 13.4 | 21.3 | 22.2
| S/N(c) | 7.0 | 24.5 | 17.8
| SN(E/C) | 0.89
|
|
|
|
|
|
|
3060039
| 47
| | Red | Green | Blue
| z | | 18.56
| znorm | | 14.38
| sky | 14.9 | 14.8 | 15.0
| S/N | 13.1 | 21.5 | 22.1
| S/N(c) | 6.9 | 24.3 | 17.6
| SN(E/C) | 0.92
|
|
|
|
|
|
|
3060040
| 47
| | Red | Green | Blue
| z | | 18.58
| znorm | | 14.40
| sky | 15.1 | 15.0 | 14.9
| S/N | 13.1 | 21.9 | 22.3
| S/N(c) | 7.1 | 24.8 | 18.1
| SN(E/C) | 0.90
|
|
|
|
|
|
|
3060041
| 47
| | Red | Green | Blue
| z | | 18.62
| znorm | | 14.44
| sky | 15.0 | 15.0 | 14.8
| S/N | 13.8 | 22.4 | 22.8
| S/N(c) | 7.5 | 25.7 | 18.8
| SN(E/C) | 0.90
|
|
|
|
|
|
|
3060042
| 47
| | Red | Green | Blue
| z | | 18.59
| znorm | | 14.41
| sky | 15.0 | 14.9 | 14.8
| S/N | 13.7 | 22.4 | 22.6
| S/N(c) | 7.4 | 25.9 | 18.6
| SN(E/C) | 0.90
|
|
|
|
|
|
|
3060043
| 47
| | Red | Green | Blue
| z | | 18.58
| znorm | | 14.40
| sky | 15.0 | 14.9 | 14.8
| S/N | 13.3 | 22.2 | 22.2
| S/N(c) | 7.4 | 25.9 | 18.6
| SN(E/C) | 0.92
|
|
|
|
|
|
|
3060044
| 47
| | Red | Green | Blue
| z | | 18.59
| znorm | | 14.41
| sky | 14.9 | 14.8 | 14.6
| S/N | 13.9 | 22.7 | 22.9
| S/N(c) | 7.6 | 26.4 | 19.1
| SN(E/C) | 0.93
|
|
|
|
|
|
|
3060045
| 47
| | Red | Green | Blue
| z | | 18.62
| znorm | | 14.44
| sky | 14.9 | 14.9 | 14.7
| S/N | 13.6 | 22.7 | 22.7
| S/N(c) | 7.5 | 26.3 | 18.8
| SN(E/C) | 0.93
|
|
|
|
|
|
|
3060046
| 47
| | Red | Green | Blue
| z | | 18.57
| znorm | | 14.39
| sky | 15.2 | 14.9 | 14.6
| S/N | 13.8 | 22.1 | 22.0
| S/N(c) | 7.3 | 25.8 | 18.4
| SN(E/C) | 0.91
|
|
|
|
|
|
|
3060047
| 47
| | Red | Green | Blue
| z | | 18.58
| znorm | | 14.40
| sky | 14.9 | 14.9 | 14.6
| S/N | 13.5 | 22.2 | 22.2
| S/N(c) | 7.4 | 25.6 | 18.6
| SN(E/C) | 0.88
|
|
|
|
|
|
|
3060048
| 47
| | Red | Green | Blue
| z | | 18.56
| znorm | | 14.38
| sky | 14.8 | 14.9 | 14.5
| S/N | 13.5 | 22.1 | 22.2
| S/N(c) | 7.4 | 25.9 | 18.9
| SN(E/C) | 0.91
|
|
|
|
|
|
|
3060049
| 47
| | Red | Green | Blue
| z | | 18.59
| znorm | | 14.41
| sky | 14.8 | 15.0 | 14.5
| S/N | 13.8 | 22.4 | 22.3
| S/N(c) | 7.4 | 25.6 | 18.6
| SN(E/C) | 0.91
|
|
|
|
|
|
|
3060050
| 47
| | Red | Green | Blue
| z | | 18.51
| znorm | | 14.33
| sky | 15.0 | 14.8 | 14.5
| S/N | 13.3 | 21.3 | 20.8
| S/N(c) | 7.0 | 24.8 | 17.8
| SN(E/C) | 0.92
|
|
|
|
|
|
|
3060051
| 47
| | Red | Green | Blue
| z | | 18.52
| znorm | | 14.34
| sky | 14.8 | 14.8 | 14.6
| S/N | 12.8 | 21.4 | 21.0
| S/N(c) | 7.0 | 24.5 | 17.9
| SN(E/C) | 0.92
|
|
|
|
|
|
|