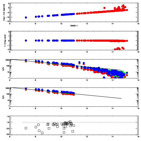
Left plots: red are targets, blue are telluric. Observed mags are calculated from median value of green chip. Zeropoint gives overall throughput: bigger number is more throughput.
First spatial plots: circles are objects, squares are tellurics, crosses are sky fibers. Colors give deviation of observed mag from expected 2MASS mag using the median zeropoint; red is brighter
Second spatial plots: circles are sky fibers. Colors give sky line brightness relative to plate median sky line brightness
FrameNreadsZeropointsMag plots Spatial mag deviation Spatial sky 16325A emission deviations (filled: sky, open: star) Spatial sky continuum emission Spatial sky telluric CO2 absorption deviations (filled: H < 10)
0 0
RedGreenBlue
z17.61
znorm Inf
sky -NaN -NaN -NaN
S/N 29.9 53.6 54.1
S/N(c) 19.5 69.0 49.9
SN(E/C) 0.83

IPAIRNAMESHIFTNEWSHIFTS/N NAMESHIFTNEWSHIFTS/N
0 03060050 0.495565 0.00000 18.3602 03060051 0.00123149 0.494334 18.3450
1 03060037 0.495080 0.000485003 18.5362 03060036 0.00000 0.495565 18.5249
2 03060041 0.492852 0.00271299 18.4726 03060044 -0.00155715 0.497122 18.4875
3 03060042 0.493718 0.00184700 18.4626 03060048 -0.000329992 0.495895 18.4449
4 03060049 0.494700 0.000864983 18.4576 03060043 -0.00122106 0.496786 18.4363
5 03060045 0.493235 0.00233001 18.4545 03060040 -0.00430263 0.499868 18.4071
6 03060046 0.494535 0.00103000 18.4274 03060039 -0.00332912 0.498894 18.4043
7 03060038 0.495398 0.000166982 18.3941 03060047 -0.000275564 0.495841 18.4026