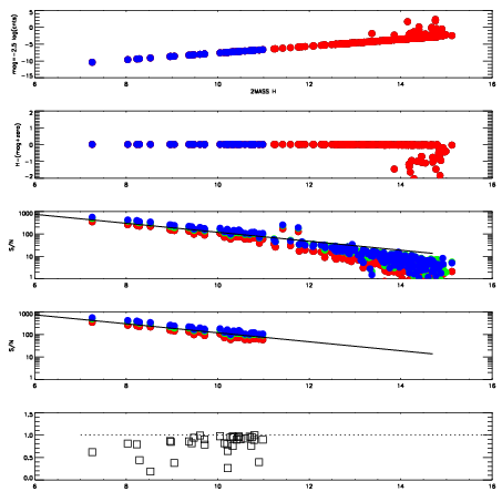
Left plots: red are targets, blue are telluric. Observed mags are calculated from median value of green chip. Zeropoint gives overall throughput: bigger number is more throughput.
First spatial plots: circles are objects, squares are tellurics, crosses are sky fibers. Colors give deviation of observed mag from expected 2MASS mag using the median zeropoint; red is brighter
Second spatial plots: circles are sky fibers. Colors give sky line brightness relative to plate median sky line brightness
FrameNreadsZeropointsMag plots Spatial mag deviation Spatial sky 16325A emission deviations (filled: sky, open: star) Spatial sky continuum emission Spatial sky telluric CO2 absorption deviations (filled: H < 10)
0 0
RedGreenBlue
z17.62
znorm Inf
sky -NaN -NaN -NaN
S/N 20.9 37.8 39.2
S/N(c) 27.4 50.7 28.2
SN(E/C) 0.87

IPAIRNAMESHIFTNEWSHIFTS/N NAMESHIFTNEWSHIFTS/N
0 03200016 0.517083 0.00000 18.4641 03200017 0.00224734 0.514836 18.4513
1 03200015 0.507629 0.00945401 18.4503 03200013 0.00149719 0.515586 18.4451
2 03200011 0.507968 0.00911498 18.3743 03200014 0.00187738 0.515206 18.4063
3 03200012 0.507838 0.00924498 18.3188 03200010 0.00000 0.517083 18.2204