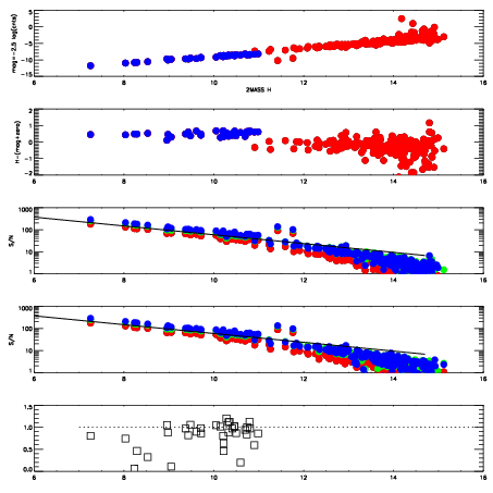
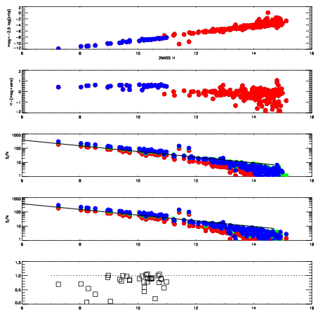
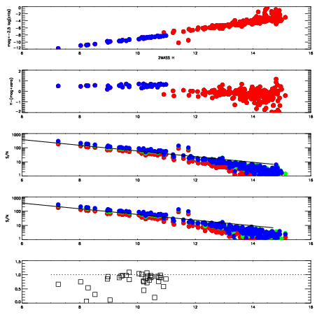
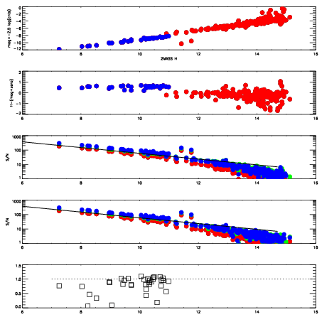
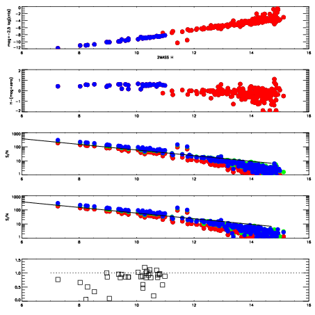
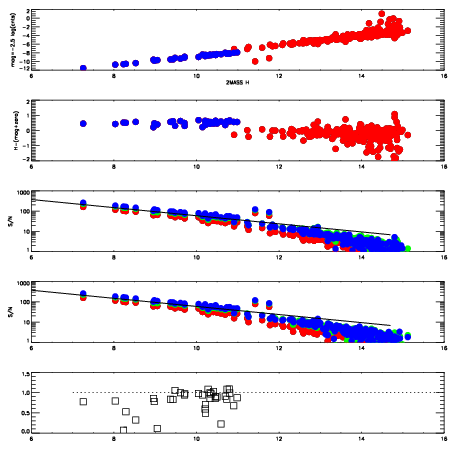
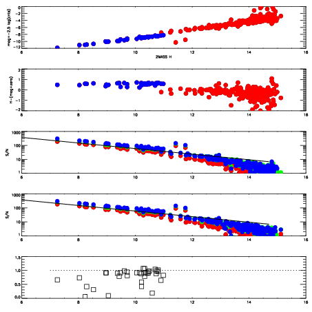
Frame | Nreads | Zeropoints | Mag plots
| Spatial mag deviation
| Spatial sky 16325A emission deviations (filled: sky, open: star)
| Spatial sky continuum emission
| Spatial sky telluric CO2 absorption deviations (filled: H < 10)
|
3210010
| 47
| | Red | Green | Blue
| z | | 18.58
| znorm | | 14.40
| sky | 14.5 | 14.6 | 14.3
| S/N | 13.2 | 22.0 | 21.9
| S/N(c) | 14.7 | 25.8 | 14.5
| SN(E/C) | 0.93
|
|
|
|
|
|
|
3210011
| 47
| | Red | Green | Blue
| z | | 18.65
| znorm | | 14.47
| sky | 14.7 | 14.8 | 14.6
| S/N | 13.1 | 22.4 | 23.2
| S/N(c) | 15.1 | 26.8 | 14.9
| SN(E/C) | 0.86
|
|
|
|
|
|
|
3210012
| 47
| | Red | Green | Blue
| z | | 18.66
| znorm | | 14.48
| sky | 14.7 | 14.7 | 14.6
| S/N | 13.7 | 22.6 | 23.2
| S/N(c) | 15.2 | 27.5 | 15.4
| SN(E/C) | 0.86
|
|
|
|
|
|
|
3210013
| 47
| | Red | Green | Blue
| z | | 18.63
| znorm | | 14.45
| sky | 14.5 | 14.6 | 14.5
| S/N | 13.2 | 22.2 | 22.8
| S/N(c) | 15.0 | 27.5 | 15.3
| SN(E/C) | 0.88
|
|
|
|
|
|
|
3210014
| 47
| | Red | Green | Blue
| z | | 18.64
| znorm | | 14.46
| sky | 14.6 | 14.8 | 14.6
| S/N | 13.5 | 22.5 | 23.3
| S/N(c) | 14.9 | 27.5 | 15.4
| SN(E/C) | 0.91
|
|
|
|
|
|
|
3210015
| 47
| | Red | Green | Blue
| z | | 18.62
| znorm | | 14.44
| sky | 14.6 | 14.6 | 14.5
| S/N | 13.5 | 22.3 | 23.0
| S/N(c) | 14.8 | 27.6 | 15.4
| SN(E/C) | 0.90
|
|
|
|
|
|
|
3210016
| 47
| | Red | Green | Blue
| z | | 18.64
| znorm | | 14.46
| sky | 14.7 | 14.7 | 14.6
| S/N | 13.4 | 22.3 | 23.2
| S/N(c) | 14.5 | 27.4 | 15.2
| SN(E/C) | 0.92
|
|
|
|
|
|
|
3210017
| 47
| | Red | Green | Blue
| z | | 18.63
| znorm | | 14.45
| sky | 14.9 | 14.8 | 14.5
| S/N | 13.5 | 22.2 | 22.8
| S/N(c) | 14.3 | 27.2 | 15.1
| SN(E/C) | 0.86
|
|
|
|
|
|
|
3210018
| 47
| | Red | Green | Blue
| z | | 18.32
| znorm | | 14.14
| sky | 14.9 | 14.8 | 14.6
| S/N | 10.8 | 18.7 | 18.9
| S/N(c) | 11.9 | 23.0 | 12.9
| SN(E/C) | 0.85
|
|
|
|
|
|
|
3210019
| 47
| | Red | Green | Blue
| z | | 18.29
| znorm | | 14.11
| sky | 15.0 | 14.9 | 14.6
| S/N | 10.2 | 18.1 | 18.2
| S/N(c) | 11.6 | 22.8 | 12.7
| SN(E/C) | 0.92
|
|
|
|
|
|
|
3210020
| 47
| | Red | Green | Blue
| z | | 18.54
| znorm | | 14.36
| sky | 14.8 | 14.7 | 14.5
| S/N | 12.8 | 21.3 | 22.1
| S/N(c) | 13.9 | 26.7 | 14.9
| SN(E/C) | 0.87
|
|
|
|
|
|
|
3210021
| 47
| | Red | Green | Blue
| z | | 18.56
| znorm | | 14.38
| sky | 14.6 | 14.7 | 14.6
| S/N | 12.6 | 21.6 | 22.1
| S/N(c) | 13.8 | 26.5 | 14.7
| SN(E/C) | 0.88
|
|
|
|
|
|
|