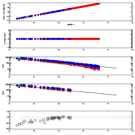
Left plots: red are targets, blue are telluric. Observed mags are calculated from median value of green chip. Zeropoint gives overall throughput: bigger number is more throughput.
First spatial plots: circles are objects, squares are tellurics, crosses are sky fibers. Colors give deviation of observed mag from expected 2MASS mag using the median zeropoint; red is brighter
Second spatial plots: circles are sky fibers. Colors give sky line brightness relative to plate median sky line brightness
FrameNreadsZeropointsMag plots Spatial mag deviation Spatial sky 16325A emission deviations (filled: sky, open: star) Spatial sky continuum emission Spatial sky telluric CO2 absorption deviations (filled: H < 10)
0 0
RedGreenBlue
z17.64
znorm Inf
sky -Inf -Inf -Inf
S/N 29.6 49.9 51.3
S/N(c) 0.0 0.0 0.0
SN(E/C) 0.88

IPAIRNAMESHIFTNEWSHIFTS/N NAMESHIFTNEWSHIFTS/N
0 03410087 0.499554 0.00000 19.1895 03410088 -0.000434572 0.499989 19.1846
1 03410086 0.498804 0.000750005 19.2156 03410084 -0.00100712 0.500561 19.2359
2 03410083 0.491684 0.00787002 19.1948 03410085 -0.00157935 0.501133 19.2318
3 03410082 0.490590 0.00896400 19.1695 03410081 0.00000 0.499554 19.1840