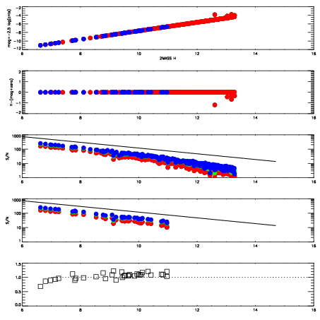
Left plots: red are targets, blue are telluric. Observed mags are calculated from median value of green chip. Zeropoint gives overall throughput: bigger number is more throughput.
First spatial plots: circles are objects, squares are tellurics, crosses are sky fibers. Colors give deviation of observed mag from expected 2MASS mag using the median zeropoint; red is brighter
Second spatial plots: circles are sky fibers. Colors give sky line brightness relative to plate median sky line brightness
FrameNreadsZeropointsMag plots Spatial mag deviation Spatial sky 16325A emission deviations (filled: sky, open: star) Spatial sky continuum emission Spatial sky telluric CO2 absorption deviations (filled: H < 10)
0 0
RedGreenBlue
z17.64
znorm Inf
sky -Inf -Inf -Inf
S/N 4.9 9.2 9.9
S/N(c) 0.0 0.0 0.0
SN(E/C) 1.07

IPAIRNAMESHIFTNEWSHIFTS/N NAMESHIFTNEWSHIFTS/N
0 03500030 0.512601 0.00000 17.3092 03500027 0.00245897 0.510142 17.3127
1 03500029 0.508540 0.00406104 16.3355 03500028 0.00234934 0.510252 17.0481
2 03500026 0.507781 0.00481999 15.2345 03500024 0.00000 0.512601 16.9015
3 03500025 0.506647 0.00595403 14.9159 03500031 0.00324802 0.509353 16.7100