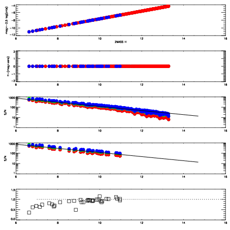
Left plots: red are targets, blue are telluric. Observed mags are calculated from median value of green chip. Zeropoint gives overall throughput: bigger number is more throughput.
First spatial plots: circles are objects, squares are tellurics, crosses are sky fibers. Colors give deviation of observed mag from expected 2MASS mag using the median zeropoint; red is brighter
Second spatial plots: circles are sky fibers. Colors give sky line brightness relative to plate median sky line brightness
FrameNreadsZeropointsMag plots Spatial mag deviation Spatial sky 16325A emission deviations (filled: sky, open: star) Spatial sky continuum emission Spatial sky telluric CO2 absorption deviations (filled: H < 10)
0 0
RedGreenBlue
z17.64
znorm Inf
sky -Inf -NaN -Inf
S/N 21.2 37.6 38.4
S/N(c) 0.0 0.0 0.0
SN(E/C) 0.92

IPAIRNAMESHIFTNEWSHIFTS/N NAMESHIFTNEWSHIFTS/N
0 03750071 0.508101 0.00000 18.9808 03750070 0.00329597 0.504805 18.8472
1 03750067 0.504123 0.00397801 19.1061 03750073 0.00365678 0.504444 18.9897
2 03750068 0.505321 0.00277996 19.0118 03750066 0.00000 0.508101 18.9695
3 03750072 0.508037 6.40154e-05 19.0045 03750069 0.00224435 0.505857 18.8858