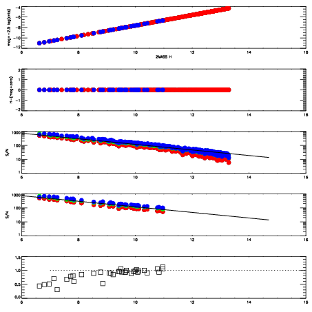
Left plots: red are targets, blue are telluric. Observed mags are calculated from median value of green chip. Zeropoint gives overall throughput: bigger number is more throughput.
First spatial plots: circles are objects, squares are tellurics, crosses are sky fibers. Colors give deviation of observed mag from expected 2MASS mag using the median zeropoint; red is brighter
Second spatial plots: circles are sky fibers. Colors give sky line brightness relative to plate median sky line brightness
FrameNreadsZeropointsMag plots Spatial mag deviation Spatial sky 16325A emission deviations (filled: sky, open: star) Spatial sky continuum emission Spatial sky telluric CO2 absorption deviations (filled: H < 10)
0 0
RedGreenBlue
z17.64
znorm Inf
sky -NaN -NaN -NaN
S/N 22.7 41.9 41.2
S/N(c) 0.0 0.0 0.0
SN(E/C) 0.93

IPAIRNAMESHIFTNEWSHIFTS/N NAMESHIFTNEWSHIFTS/N
0 03780031 0.505783 0.00000 19.0017 03780025 0.00000 0.505783 18.9464
1 03780027 0.504476 0.00130701 19.0199 03780032 0.00185199 0.503931 18.9729
2 03780026 0.504661 0.00112200 19.0066 03780028 0.00126319 0.504520 18.9692
3 03780030 0.504021 0.00176203 18.9822 03780029 0.00218029 0.503603 18.8064