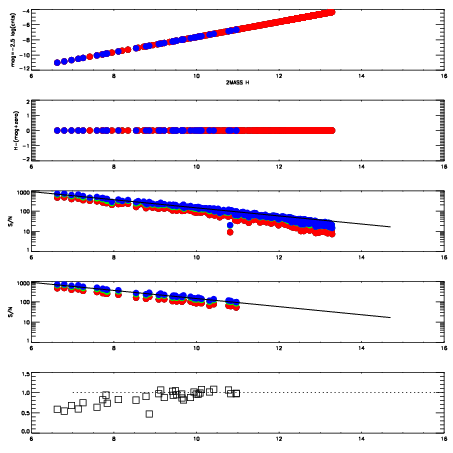
Left plots: red are targets, blue are telluric. Observed mags are calculated from median value of green chip. Zeropoint gives overall throughput: bigger number is more throughput.
First spatial plots: circles are objects, squares are tellurics, crosses are sky fibers. Colors give deviation of observed mag from expected 2MASS mag using the median zeropoint; red is brighter
Second spatial plots: circles are sky fibers. Colors give sky line brightness relative to plate median sky line brightness
FrameNreadsZeropointsMag plots Spatial mag deviation Spatial sky 16325A emission deviations (filled: sky, open: star) Spatial sky continuum emission Spatial sky telluric CO2 absorption deviations (filled: H < 10)
0 0
RedGreenBlue
z17.64
znorm Inf
sky -NaN -NaN -Inf
S/N 28.2 45.5 48.0
S/N(c) 0.0 0.0 0.0
SN(E/C) 0.94

IPAIRNAMESHIFTNEWSHIFTS/N NAMESHIFTNEWSHIFTS/N
0 11340048 0.484698 0.00000 18.8984 11340034 0.00000 0.484698 18.9713
1 11340049 0.484608 9.00030e-05 18.8927 11340037 -0.000126746 0.484825 18.7131
2 11340035 0.480729 0.00396898 18.6954 11340038 0.000771226 0.483927 18.3717
3 11340036 0.481639 0.00305900 18.6841 11340047 0.00322263 0.481475 18.3504
4 11340039 0.482007 0.00269100 18.1294 11340050 0.00194689 0.482751 18.2666
5 11340040 0.483663 0.00103500 17.8951 11340041 0.00245123 0.482247 18.2633