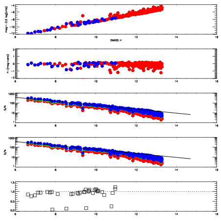
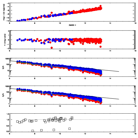
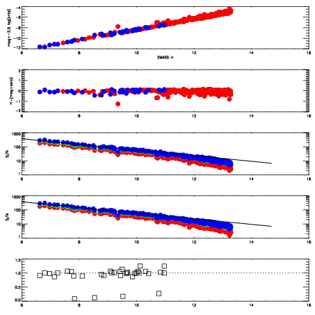
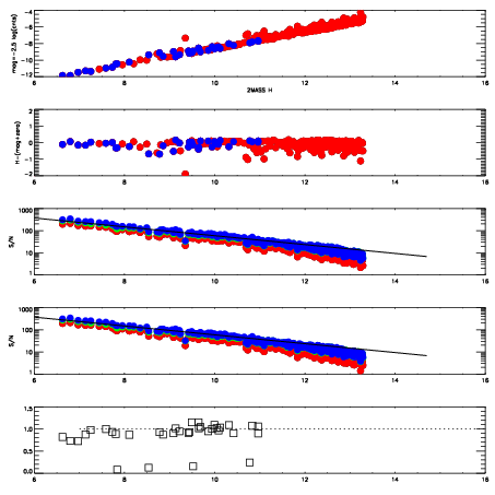
Frame | Nreads | Zeropoints | Mag plots
| Spatial mag deviation
| Spatial sky 16325A emission deviations (filled: sky, open: star)
| Spatial sky continuum emission
| Spatial sky telluric CO2 absorption deviations (filled: H < 10)
|
3100076
| 47
| | Red | Green | Blue
| z | | 18.42
| znorm | | 14.24
| sky | 14.5 | 14.4 | 14.2
| S/N | 11.3 | 18.4 | 18.1
| S/N(c) | 14.2 | 12.9 | 15.7
| SN(E/C) | 0.94
|
|
|
|
|
|
|
3100077
| 47
| | Red | Green | Blue
| z | | 18.52
| znorm | | 14.34
| sky | 14.7 | 14.6 | 14.6
| S/N | 12.0 | 19.3 | 19.8
| S/N(c) | 14.9 | 13.4 | 16.6
| SN(E/C) | 0.95
|
|
|
|
|
|
|
3100078
| 47
| | Red | Green | Blue
| z | | 17.40
| znorm | | 13.22
| sky | 14.4 | 14.3 | 14.4
| S/N | 4.5 | 9.0 | 9.1
| S/N(c) | 6.8 | 7.2 | 9.1
| SN(E/C) | 1.00
|
|
|
|
|
|
|
3100079
| 47
| | Red | Green | Blue
| z | | 18.58
| znorm | | 14.40
| sky | 14.8 | 14.6 | 14.7
| S/N | 12.8 | 19.6 | 20.6
| S/N(c) | 15.6 | 13.9 | 17.2
| SN(E/C) | 0.93
|
|
|
|
|
|
|
3100080
| 47
| | Red | Green | Blue
| z | | 18.57
| znorm | | 14.39
| sky | 14.8 | 14.7 | 14.8
| S/N | 12.4 | 19.6 | 20.2
| S/N(c) | 15.3 | 14.1 | 17.0
| SN(E/C) | 0.99
|
|
|
|
|
|
|
3100081
| 47
| | Red | Green | Blue
| z | | 18.38
| znorm | | 14.20
| sky | 14.9 | 14.8 | 14.8
| S/N | 10.9 | 17.8 | 18.0
| S/N(c) | 14.2 | 12.8 | 15.8
| SN(E/C) | 1.01
|
|
|
|
|
|
|
3100082
| 47
| | Red | Green | Blue
| z | | 18.32
| znorm | | 14.14
| sky | 15.1 | 14.9 | 14.9
| S/N | 10.3 | 17.2 | 17.3
| S/N(c) | 13.8 | 12.4 | 15.2
| SN(E/C) | 0.95
|
|
|
|
|
|
|
3100083
| 47
| | Red | Green | Blue
| z | | 18.53
| znorm | | 14.35
| sky | 14.7 | 14.7 | 14.6
| S/N | 11.8 | 19.1 | 20.0
| S/N(c) | 15.3 | 13.4 | 16.2
| SN(E/C) | 0.94
|
|
|
|
|
|
|