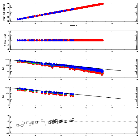
Left plots: red are targets, blue are telluric. Observed mags are calculated from median value of green chip. Zeropoint gives overall throughput: bigger number is more throughput.
First spatial plots: circles are objects, squares are tellurics, crosses are sky fibers. Colors give deviation of observed mag from expected 2MASS mag using the median zeropoint; red is brighter
Second spatial plots: circles are sky fibers. Colors give sky line brightness relative to plate median sky line brightness
FrameNreadsZeropointsMag plots Spatial mag deviation Spatial sky 16325A emission deviations (filled: sky, open: star) Spatial sky continuum emission Spatial sky telluric CO2 absorption deviations (filled: H < 10)
0 0
RedGreenBlue
z17.64
znorm Inf
sky -Inf -Inf -Inf
S/N 18.9 31.9 32.5
S/N(c) 0.0 0.0 0.0
SN(E/C) 0.97

IPAIRNAMESHIFTNEWSHIFTS/N NAMESHIFTNEWSHIFTS/N
0 03100082 0.503023 0.00000 18.2965 03100083 0.00437241 0.498651 18.5080
1 03100077 0.500355 0.00266802 18.4774 03100079 0.00677743 0.496246 18.5519
2 03100081 0.501991 0.00103205 18.3659 03100080 0.00632111 0.496702 18.5427
3 03100078 0.500944 0.00207901 17.3919 03100076 0.00000 0.503023 18.3901