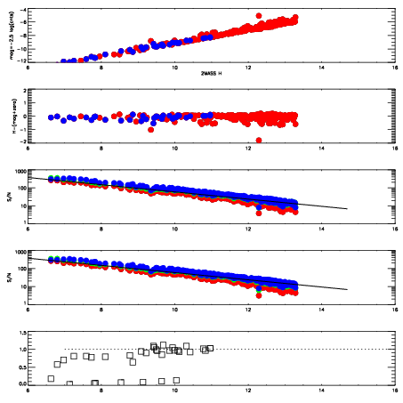
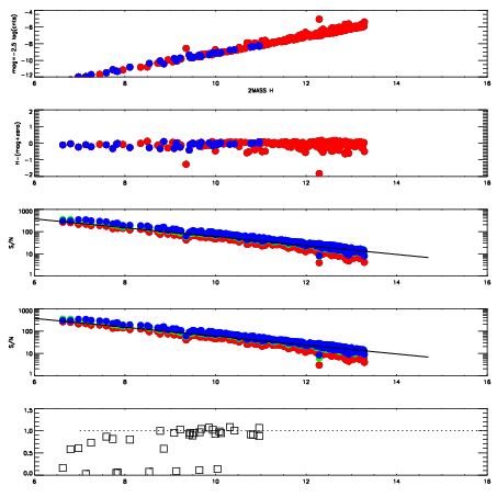
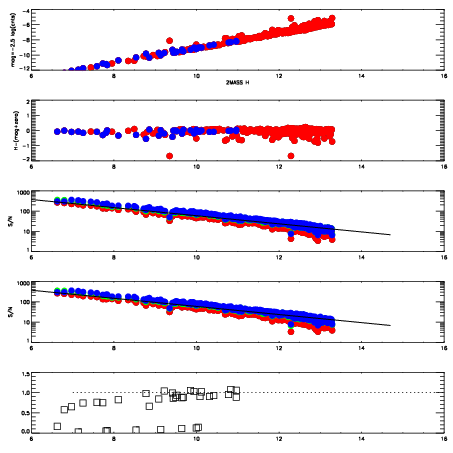
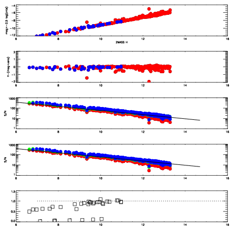
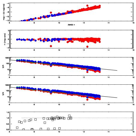
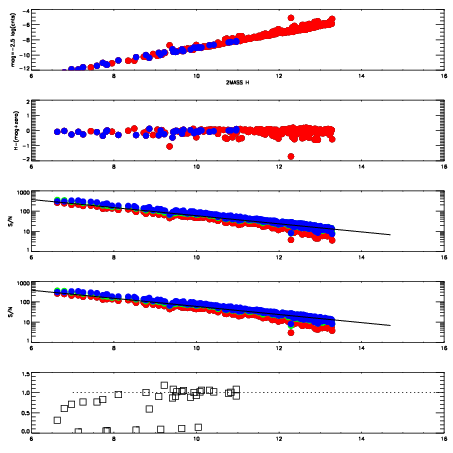
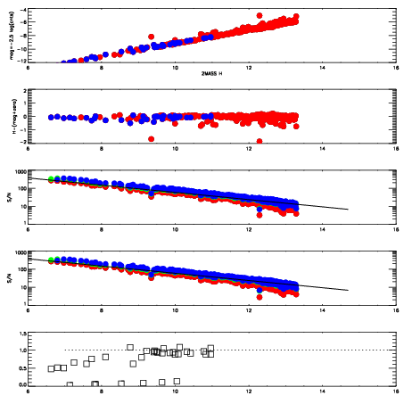
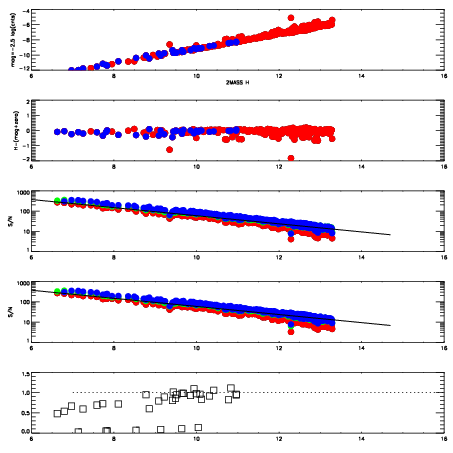
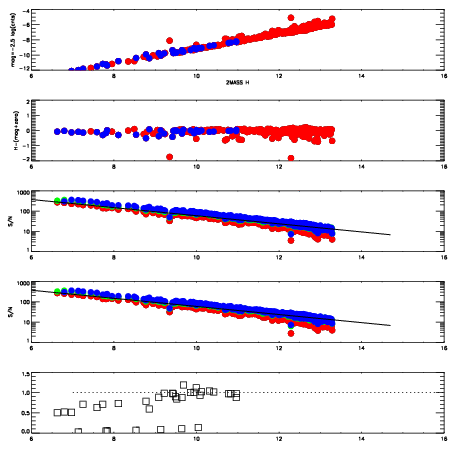
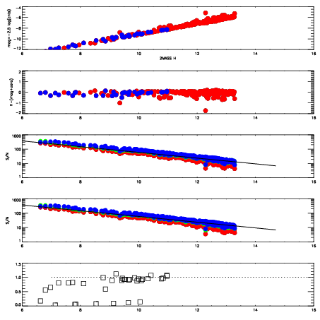
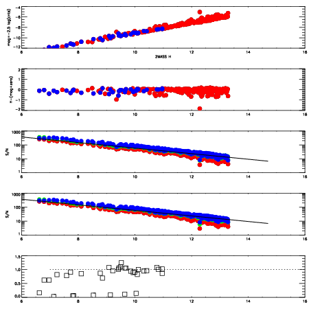
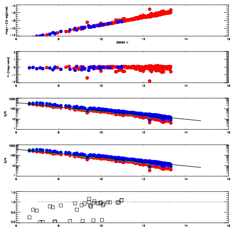
Frame | Nreads | Zeropoints | Mag plots
| Spatial mag deviation
| Spatial sky 16325A emission deviations (filled: sky, open: star)
| Spatial sky continuum emission
| Spatial sky telluric CO2 absorption deviations (filled: H < 10)
|
4030036
| 47
| | Red | Green | Blue
| z | | 19.15
| znorm | | 14.97
| sky | 14.8 | 14.3 | 14.1
| S/N | 16.3 | 24.9 | 26.2
| S/N(c) | 13.5 | 16.9 | 22.5
| SN(E/C) | 0.86
|
|
|
|
|
|
|
4030037
| 47
| | Red | Green | Blue
| z | | 19.20
| znorm | | 15.02
| sky | 14.6 | 14.3 | 14.4
| S/N | 16.4 | 25.9 | 27.3
| S/N(c) | 13.7 | 17.3 | 22.0
| SN(E/C) | 0.88
|
|
|
|
|
|
|
4030038
| 47
| | Red | Green | Blue
| z | | 19.20
| znorm | | 15.02
| sky | 14.5 | 14.4 | 14.4
| S/N | 16.5 | 26.1 | 27.6
| S/N(c) | 13.7 | 17.4 | 22.2
| SN(E/C) | 0.88
|
|
|
|
|
|
|
4030039
| 47
| | Red | Green | Blue
| z | | 19.16
| znorm | | 14.98
| sky | 14.7 | 14.6 | 14.5
| S/N | 16.5 | 25.8 | 27.2
| S/N(c) | 13.4 | 17.0 | 23.0
| SN(E/C) | 0.92
|
|
|
|
|
|
|
4030040
| 47
| | Red | Green | Blue
| z | | 19.23
| znorm | | 15.05
| sky | 14.7 | 14.6 | 14.5
| S/N | 17.0 | 26.6 | 28.0
| S/N(c) | 14.1 | 17.6 | 22.6
| SN(E/C) | 0.86
|
|
|
|
|
|
|
4030041
| 47
| | Red | Green | Blue
| z | | 19.19
| znorm | | 15.01
| sky | 14.8 | 14.5 | 14.4
| S/N | 16.6 | 26.0 | 27.4
| S/N(c) | 14.1 | 17.2 | 23.3
| SN(E/C) | 0.84
|
|
|
|
|
|
|
4030042
| 47
| | Red | Green | Blue
| z | | 19.22
| znorm | | 15.04
| sky | 14.7 | 14.6 | 14.6
| S/N | 16.7 | 26.4 | 28.1
| S/N(c) | 14.6 | 18.3 | 23.7
| SN(E/C) | 0.82
|
|
|
|
|
|
|
4030043
| 47
| | Red | Green | Blue
| z | | 19.17
| znorm | | 14.99
| sky | 14.7 | 14.5 | 14.5
| S/N | 16.3 | 25.7 | 27.4
| S/N(c) | 14.2 | 18.1 | 23.2
| SN(E/C) | 0.91
|
|
|
|
|
|
|
4030044
| 47
| | Red | Green | Blue
| z | | 19.11
| znorm | | 14.93
| sky | 14.6 | 14.5 | 14.4
| S/N | 15.3 | 24.9 | 26.6
| S/N(c) | 13.8 | 17.5 | 22.7
| SN(E/C) | 0.91
|
|
|
|
|
|
|
4030045
| 47
| | Red | Green | Blue
| z | | 19.16
| znorm | | 14.98
| sky | 14.8 | 14.5 | 14.4
| S/N | 16.2 | 25.5 | 27.7
| S/N(c) | 14.2 | 18.0 | 23.2
| SN(E/C) | 0.89
|
|
|
|
|
|
|
4030046
| 47
| | Red | Green | Blue
| z | | 19.18
| znorm | | 15.00
| sky | 14.6 | 14.5 | 14.5
| S/N | 16.3 | 25.9 | 28.0
| S/N(c) | 14.2 | 18.1 | 23.4
| SN(E/C) | 0.89
|
|
|
|
|
|
|
4030047
| 47
| | Red | Green | Blue
| z | | 19.17
| znorm | | 14.99
| sky | 14.6 | 14.6 | 14.5
| S/N | 16.1 | 25.7 | 27.9
| S/N(c) | 14.0 | 17.8 | 23.3
| SN(E/C) | 0.89
|
|
|
|
|
|
|