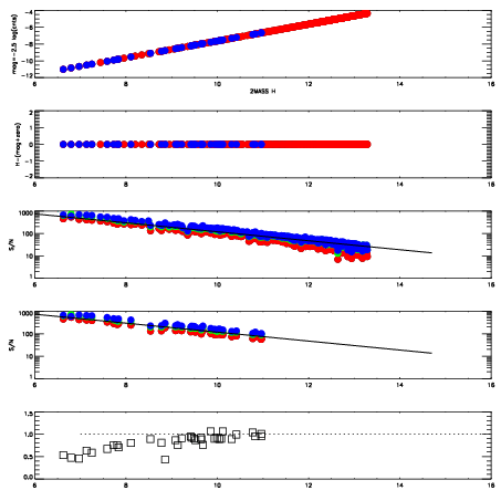
Left plots: red are targets, blue are telluric. Observed mags are calculated from median value of green chip. Zeropoint gives overall throughput: bigger number is more throughput.
First spatial plots: circles are objects, squares are tellurics, crosses are sky fibers. Colors give deviation of observed mag from expected 2MASS mag using the median zeropoint; red is brighter
Second spatial plots: circles are sky fibers. Colors give sky line brightness relative to plate median sky line brightness
FrameNreadsZeropointsMag plots Spatial mag deviation Spatial sky 16325A emission deviations (filled: sky, open: star) Spatial sky continuum emission Spatial sky telluric CO2 absorption deviations (filled: H < 10)
0 0
RedGreenBlue
z17.64
znorm Inf
sky -Inf -NaN -Inf
S/N 28.2 47.4 49.9
S/N(c) 0.0 0.0 0.0
SN(E/C) 0.89

IPAIRNAMESHIFTNEWSHIFTS/N NAMESHIFTNEWSHIFTS/N
0 11140056 0.489963 0.00000 19.0576 11140050 0.00000 0.489963 18.9656
1 11140055 0.488937 0.00102600 19.1348 11140053 0.00135654 0.488606 19.1312
2 11140052 0.485843 0.00411999 19.0995 11140054 0.00142374 0.488539 19.1162
3 11140051 0.485239 0.00472400 19.0905 11140057 0.00283112 0.487132 19.0926