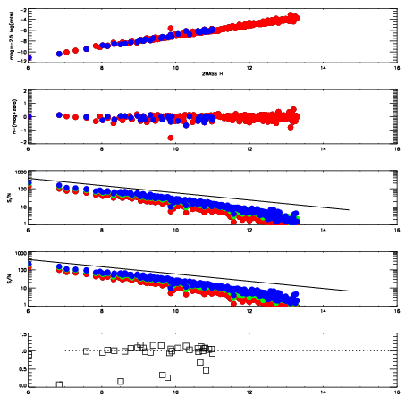
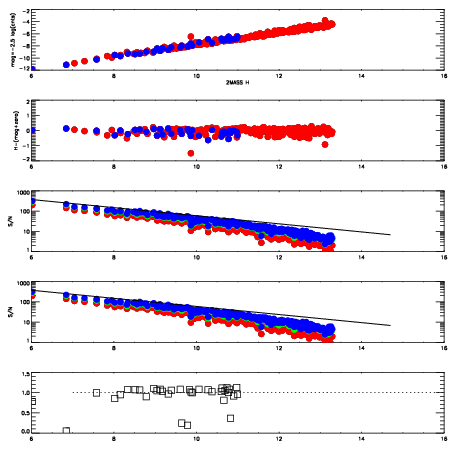
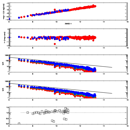
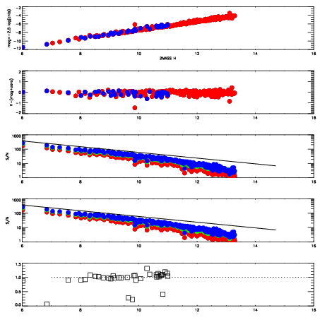
Frame | Nreads | Zeropoints | Mag plots
| Spatial mag deviation
| Spatial sky 16325A emission deviations (filled: sky, open: star)
| Spatial sky continuum emission
| Spatial sky telluric CO2 absorption deviations (filled: H < 10)
|
3140084
| 47
| | Red | Green | Blue
| z | | 18.30
| znorm | | 14.12
| sky | 13.8 | 13.7 | 13.6
| S/N | 9.3 | 15.6 | 15.3
| S/N(c) | 6.2 | 4.6 | 18.5
| SN(E/C) | 1.01
|
|
|
|
|
|
|
3140085
| 47
| | Red | Green | Blue
| z | | 17.83
| znorm | | 13.65
| sky | 13.5 | 13.4 | 13.6
| S/N | 5.8 | 10.7 | 11.8
| S/N(c) | 4.5 | 3.4 | 14.0
| SN(E/C) | 1.03
|
|
|
|
|
|
|
3140086
| 47
| | Red | Green | Blue
| z | | 17.49
| znorm | | 13.31
| sky | 13.3 | 13.3 | 13.4
| S/N | 4.5 | 7.9 | 9.2
| S/N(c) | 3.4 | 2.7 | 11.2
| SN(E/C) | 1.02
|
|
|
|
|
|
|
3140087
| 47
| | Red | Green | Blue
| z | | 17.32
| znorm | | 13.14
| sky | 13.4 | 13.2 | 13.4
| S/N | 3.6 | 7.0 | 8.1
| S/N(c) | 3.0 | 2.4 | 10.1
| SN(E/C) | 1.03
|
|
|
|
|
|
|
3140088
| 47
| | Red | Green | Blue
| z | | 17.38
| znorm | | 13.20
| sky | 13.4 | 13.3 | 13.4
| S/N | 4.0 | 7.2 | 8.6
| S/N(c) | 3.2 | 2.6 | 10.6
| SN(E/C) | 1.00
|
|
|
|
|
|
|
3140089
| 47
| | Red | Green | Blue
| z | | 17.07
| znorm | | 12.89
| sky | 13.1 | 13.1 | 13.2
| S/N | 2.9 | 5.3 | 6.6
| S/N(c) | 2.4 | 2.0 | 8.3
| SN(E/C) | 1.01
|
|
|
|
|
|
|
3140090
| 47
| | Red | Green | Blue
| z | | 17.38
| znorm | | 13.20
| sky | 13.2 | 13.2 | 13.3
| S/N | 3.7 | 7.2 | 8.8
| S/N(c) | 3.1 | 2.5 | 10.3
| SN(E/C) | 1.02
|
|
|
|
|
|
|
3140091
| 47
| | Red | Green | Blue
| z | | 18.02
| znorm | | 13.84
| sky | 13.5 | 13.5 | 13.6
| S/N | 7.2 | 12.4 | 13.6
| S/N(c) | 5.0 | 3.8 | 15.7
| SN(E/C) | 1.03
|
|
|
|
|
|
|