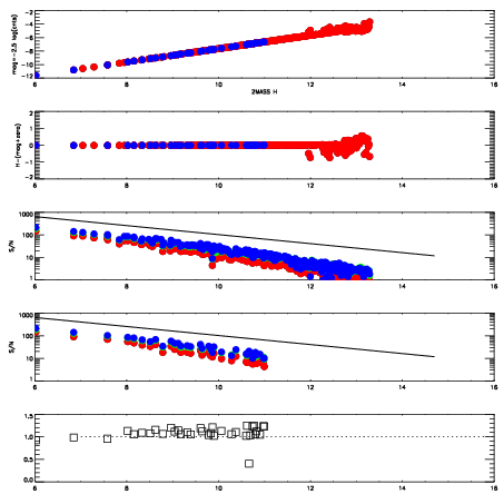
Left plots: red are targets, blue are telluric. Observed mags are calculated from median value of green chip. Zeropoint gives overall throughput: bigger number is more throughput.
First spatial plots: circles are objects, squares are tellurics, crosses are sky fibers. Colors give deviation of observed mag from expected 2MASS mag using the median zeropoint; red is brighter
Second spatial plots: circles are sky fibers. Colors give sky line brightness relative to plate median sky line brightness
FrameNreadsZeropointsMag plots Spatial mag deviation Spatial sky 16325A emission deviations (filled: sky, open: star) Spatial sky continuum emission Spatial sky telluric CO2 absorption deviations (filled: H < 10)
0 0
RedGreenBlue
z17.65
znorm Inf
sky -Inf -Inf -NaN
S/N 2.9 5.8 5.1
S/N(c) 0.0 0.0 0.0
SN(E/C) 1.09

IPAIRNAMESHIFTNEWSHIFTS/N NAMESHIFTNEWSHIFTS/N
0 03500042 0.511872 0.00000 16.5213 03500048 0.000396971 0.511475 15.4185
1 03500041 0.504369 0.00750297 17.0011 03500040 0.00000 0.511872 16.6264
2 03500045 0.503496 0.00837600 15.7725 03500043 -0.000315656 0.512188 15.3025