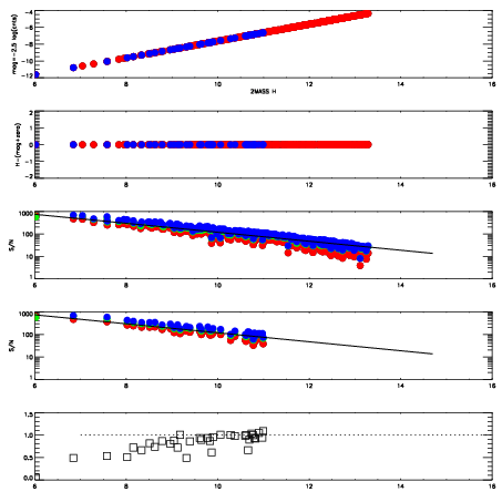
Left plots: red are targets, blue are telluric. Observed mags are calculated from median value of green chip. Zeropoint gives overall throughput: bigger number is more throughput.
First spatial plots: circles are objects, squares are tellurics, crosses are sky fibers. Colors give deviation of observed mag from expected 2MASS mag using the median zeropoint; red is brighter
Second spatial plots: circles are sky fibers. Colors give sky line brightness relative to plate median sky line brightness
FrameNreadsZeropointsMag plots Spatial mag deviation Spatial sky 16325A emission deviations (filled: sky, open: star) Spatial sky continuum emission Spatial sky telluric CO2 absorption deviations (filled: H < 10)
0 0
RedGreenBlue
z17.64
znorm Inf
sky -Inf -NaN -Inf
S/N 31.5 53.4 55.4
S/N(c) 0.0 0.0 0.0
SN(E/C) 0.89

IPAIRNAMESHIFTNEWSHIFTS/N NAMESHIFTNEWSHIFTS/N
0 03660052 0.502902 0.00000 19.1176 03660053 0.00106806 0.501834 19.1288
1 03660056 0.502133 0.000768960 19.1642 03660057 0.00201080 0.500891 19.1955
2 03660055 0.496983 0.00591898 19.1559 03660054 0.00136880 0.501533 19.1344
3 03660051 0.497569 0.00533298 19.1095 03660050 0.00000 0.502902 19.1156