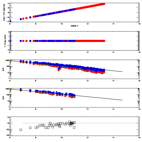
Left plots: red are targets, blue are telluric. Observed mags are calculated from median value of green chip. Zeropoint gives overall throughput: bigger number is more throughput.
First spatial plots: circles are objects, squares are tellurics, crosses are sky fibers. Colors give deviation of observed mag from expected 2MASS mag using the median zeropoint; red is brighter
Second spatial plots: circles are sky fibers. Colors give sky line brightness relative to plate median sky line brightness
FrameNreadsZeropointsMag plots Spatial mag deviation Spatial sky 16325A emission deviations (filled: sky, open: star) Spatial sky continuum emission Spatial sky telluric CO2 absorption deviations (filled: H < 10)
0 0
RedGreenBlue
z17.64
znorm Inf
sky -Inf -Inf -NaN
S/N 27.7 44.8 47.9
S/N(c) 0.0 0.0 0.0
SN(E/C) 0.84

IPAIRNAMESHIFTNEWSHIFTS/N NAMESHIFTNEWSHIFTS/N
0 03770042 0.512509 0.00000 18.8053 03770043 0.00463221 0.507877 18.7797
1 03770038 0.507427 0.00508201 19.0624 03770039 0.00107746 0.511432 19.0744
2 03770037 0.506192 0.00631696 19.0343 03770040 0.00339098 0.509118 19.0706
3 03770041 0.511726 0.000782967 18.9611 03770036 0.00000 0.512509 19.0027