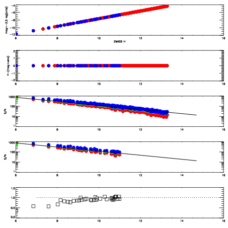
Left plots: red are targets, blue are telluric. Observed mags are calculated from median value of green chip. Zeropoint gives overall throughput: bigger number is more throughput.
First spatial plots: circles are objects, squares are tellurics, crosses are sky fibers. Colors give deviation of observed mag from expected 2MASS mag using the median zeropoint; red is brighter
Second spatial plots: circles are sky fibers. Colors give sky line brightness relative to plate median sky line brightness
FrameNreadsZeropointsMag plots Spatial mag deviation Spatial sky 16325A emission deviations (filled: sky, open: star) Spatial sky continuum emission Spatial sky telluric CO2 absorption deviations (filled: H < 10)
0 0
RedGreenBlue
z17.64
znorm Inf
sky -Inf -Inf -Inf
S/N 31.4 52.4 56.2
S/N(c) 0.0 0.0 0.0
SN(E/C) 0.91

IPAIRNAMESHIFTNEWSHIFTS/N NAMESHIFTNEWSHIFTS/N
0 03700066 0.498655 0.00000 19.1348 03700067 0.00101194 0.497643 19.1166
1 03700062 0.495644 0.00301099 19.0696 03700064 0.00141848 0.497237 19.1040
2 03700061 0.493648 0.00500700 19.0440 03700063 0.00226370 0.496391 19.0744
3 03700065 0.497234 0.00142100 19.0046 03700060 0.00000 0.498655 18.9934