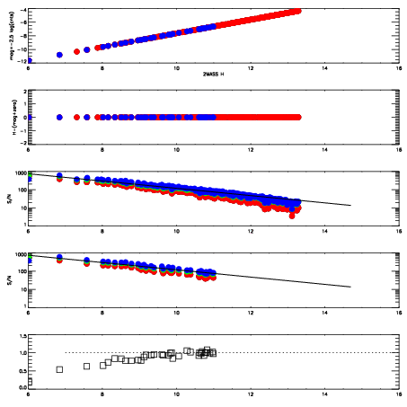
Left plots: red are targets, blue are telluric. Observed mags are calculated from median value of green chip. Zeropoint gives overall throughput: bigger number is more throughput.
First spatial plots: circles are objects, squares are tellurics, crosses are sky fibers. Colors give deviation of observed mag from expected 2MASS mag using the median zeropoint; red is brighter
Second spatial plots: circles are sky fibers. Colors give sky line brightness relative to plate median sky line brightness
FrameNreadsZeropointsMag plots Spatial mag deviation Spatial sky 16325A emission deviations (filled: sky, open: star) Spatial sky continuum emission Spatial sky telluric CO2 absorption deviations (filled: H < 10)
0 0
RedGreenBlue
z17.64
znorm Inf
sky -Inf -Inf -Inf
S/N 23.9 42.4 44.5
S/N(c) 0.0 0.0 0.0
SN(E/C) 0.93

IPAIRNAMESHIFTNEWSHIFTS/N NAMESHIFTNEWSHIFTS/N
0 03970043 0.503315 0.00000 18.7650 03970042 0.00324311 0.500072 18.8410
1 03970044 0.502629 0.000685990 18.9721 03970045 0.00152479 0.501790 18.9851
2 03970039 0.500929 0.00238597 18.9058 03970038 0.00000 0.503315 18.8558
3 03970040 0.502682 0.000633001 18.3961 03970041 0.00378053 0.499534 18.1185