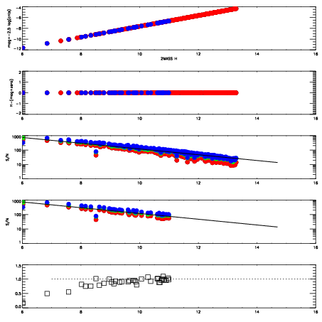
Left plots: red are targets, blue are telluric. Observed mags are calculated from median value of green chip. Zeropoint gives overall throughput: bigger number is more throughput.
First spatial plots: circles are objects, squares are tellurics, crosses are sky fibers. Colors give deviation of observed mag from expected 2MASS mag using the median zeropoint; red is brighter
Second spatial plots: circles are sky fibers. Colors give sky line brightness relative to plate median sky line brightness
FrameNreadsZeropointsMag plots Spatial mag deviation Spatial sky 16325A emission deviations (filled: sky, open: star) Spatial sky continuum emission Spatial sky telluric CO2 absorption deviations (filled: H < 10)
0 0
RedGreenBlue
z17.64
znorm Inf
sky -Inf -Inf -Inf
S/N 29.9 51.1 53.6
S/N(c) 0.0 0.0 0.0
SN(E/C) 0.92

IPAIRNAMESHIFTNEWSHIFTS/N NAMESHIFTNEWSHIFTS/N
0 04570012 0.505401 0.00000 19.0876 04570014 0.00121868 0.504182 19.0637
1 04570011 0.503597 0.00180399 19.0441 04570013 0.00189634 0.503505 19.0571
2 04570015 0.503483 0.00191802 19.0170 04570017 0.000790886 0.504610 19.0229
3 04570016 0.504533 0.000868022 18.9873 04570010 0.00000 0.505401 19.0175