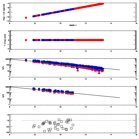
Left plots: red are targets, blue are telluric. Observed mags are calculated from median value of green chip. Zeropoint gives overall throughput: bigger number is more throughput.
First spatial plots: circles are objects, squares are tellurics, crosses are sky fibers. Colors give deviation of observed mag from expected 2MASS mag using the median zeropoint; red is brighter
Second spatial plots: circles are sky fibers. Colors give sky line brightness relative to plate median sky line brightness
FrameNreadsZeropointsMag plots Spatial mag deviation Spatial sky 16325A emission deviations (filled: sky, open: star) Spatial sky continuum emission Spatial sky telluric CO2 absorption deviations (filled: H < 10)
0 0
RedGreenBlue
z17.64
znorm Inf
sky -Inf -Inf -Inf
S/N 31.9 51.9 58.0
S/N(c) 0.0 0.0 0.0
SN(E/C) 0.70

IPAIRNAMESHIFTNEWSHIFTS/N NAMESHIFTNEWSHIFTS/N
0 03430103 0.516649 0.00000 19.0337 03430097 0.00000 0.516649 19.0885
1 03430099 0.514171 0.00247800 19.1305 03430100 0.00117809 0.515471 19.1702
2 03430098 0.510719 0.00593001 19.1006 03430101 -0.000372011 0.517021 19.1227
3 03430102 0.512266 0.00438303 19.0661 03430105 0.000829456 0.515820 19.1090
4 03430106 0.511849 0.00480002 18.9658 03430104 0.00158717 0.515062 19.0570