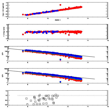
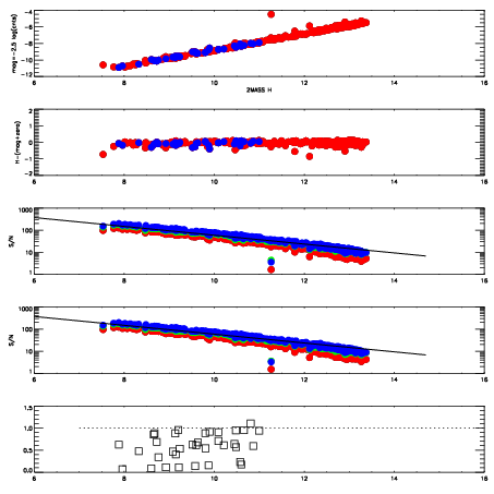
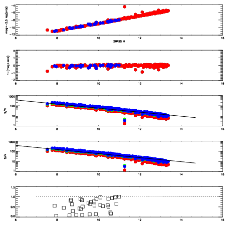
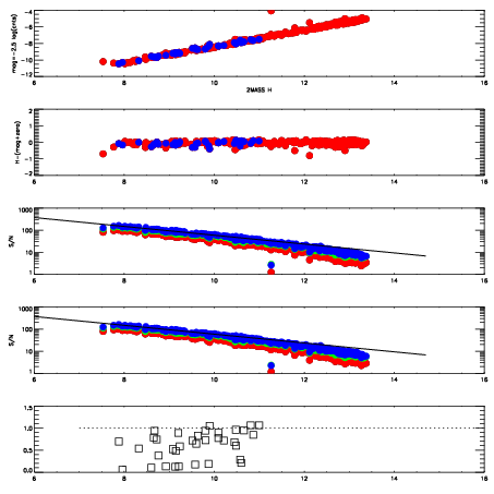
Frame | Nreads | Zeropoints | Mag plots
| Spatial mag deviation
| Spatial sky 16325A emission deviations (filled: sky, open: star)
| Spatial sky continuum emission
| Spatial sky telluric CO2 absorption deviations (filled: H < 10)
|
4600025
| 47
| | Red | Green | Blue
| z | | 18.93
| znorm | | 14.75
| sky | 14.2 | 13.8 | 13.8
| S/N | 14.7 | 22.7 | 21.7
| S/N(c) | 9.7 | 15.0 | 27.3
| SN(E/C) | 0.57
|
|
|
|
|
|
|
4600026
| 47
| | Red | Green | Blue
| z | | 19.08
| znorm | | 14.90
| sky | 14.5 | 14.2 | 14.2
| S/N | 15.8 | 24.8 | 24.7
| S/N(c) | 10.4 | 16.0 | 29.2
| SN(E/C) | 0.57
|
|
|
|
|
|
|
4600027
| 47
| | Red | Green | Blue
| z | | 19.05
| znorm | | 14.87
| sky | 14.2 | 14.1 | 14.2
| S/N | 15.2 | 24.0 | 24.5
| S/N(c) | 10.2 | 15.8 | 28.7
| SN(E/C) | 0.59
|
|
|
|
|
|
|
4600028
| 47
| | Red | Green | Blue
| z | | 18.85
| znorm | | 14.67
| sky | 14.1 | 14.0 | 14.0
| S/N | 13.1 | 21.1 | 21.8
| S/N(c) | 9.1 | 14.3 | 26.1
| SN(E/C) | 0.61
|
|
|
|
|
|
|
4600029
| 47
| | Red | Green | Blue
| z | | 18.45
| znorm | | 14.27
| sky | 13.7 | 13.6 | 13.7
| S/N | 9.6 | 15.8 | 17.4
| S/N(c) | 7.2 | 11.6 | 20.9
| SN(E/C) | 0.66
|
|
|
|
|
|
|
4600030
| 47
| | Red | Green | Blue
| z | | 18.41
| znorm | | 14.23
| sky | 13.6 | 13.5 | 13.7
| S/N | 9.1 | 15.6 | 17.2
| S/N(c) | 7.1 | 11.3 | 20.7
| SN(E/C) | 0.70
|
|
|
|
|
|
|
4600031
| 47
| | Red | Green | Blue
| z | | 18.66
| znorm | | 14.48
| sky | 13.8 | 13.7 | 13.8
| S/N | 11.4 | 18.4 | 20.2
| S/N(c) | 8.2 | 13.0 | 23.7
| SN(E/C) | 0.63
|
|
|
|
|
|
|
4600032
| 47
| | Red | Green | Blue
| z | | 18.58
| znorm | | 14.40
| sky | 13.7 | 13.6 | 13.7
| S/N | 10.6 | 17.4 | 19.1
| S/N(c) | 7.7 | 12.4 | 22.5
| SN(E/C) | 0.67
|
|
|
|
|
|
|