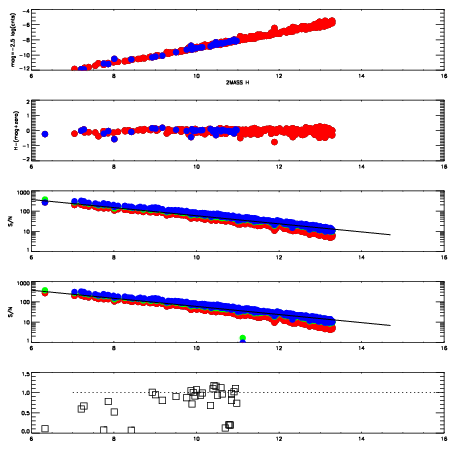
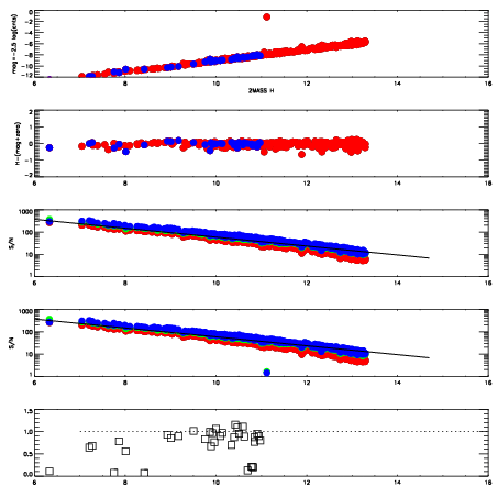
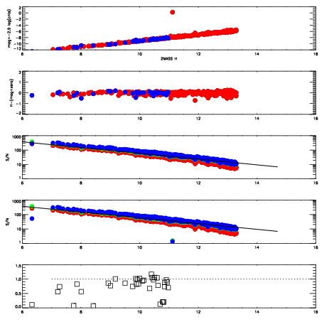
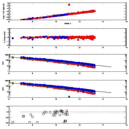
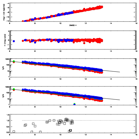
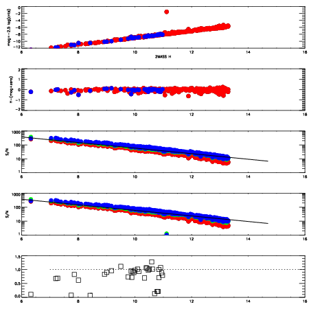
Left plots: red are targets, blue are telluric. Observed mags are calculated from median value of green chip. Zeropoint gives overall throughput: bigger number is more throughput.
First spatial plots: circles are objects, squares are tellurics, crosses are sky fibers. Colors give deviation of observed mag from expected 2MASS mag using the median zeropoint; red is brighter
Second spatial plots: circles are sky fibers. Colors give sky line brightness relative to plate median sky line brightness
FrameNreadsZeropointsMag plots Spatial mag deviation Spatial sky 16325A emission deviations (filled: sky, open: star) Spatial sky continuum emission Spatial sky telluric CO2 absorption deviations (filled: H < 10)
3100098 47
RedGreenBlue
z19.08
znorm14.90
sky 15.0 14.4 14.4
S/N 16.9 27.8 30.1
S/N(c) 19.8 28.1 23.4
SN(E/C) 0.90
3100099 47
RedGreenBlue
z19.09
znorm14.91
sky 15.0 14.5 14.7
S/N 16.8 27.8 29.8
S/N(c) 19.6 28.1 23.3
SN(E/C) 0.82
3100100 47
RedGreenBlue
z19.08
znorm14.90
sky 14.7 14.5 14.6
S/N 16.4 27.4 29.4
S/N(c) 19.3 27.8 23.3
SN(E/C) 0.85
3100101 47
RedGreenBlue
z19.12
znorm14.94
sky 14.7 14.6 14.5
S/N 17.1 28.4 30.6
S/N(c) 19.8 28.4 23.7
SN(E/C) 0.84
3100102 47
RedGreenBlue
z19.13
znorm14.95
sky 14.8 14.6 14.6
S/N 17.4 28.4 30.8
S/N(c) 19.7 28.5 23.8
SN(E/C) 0.84
3100103 47
RedGreenBlue
z19.03
znorm14.85
sky 14.8 14.8 14.6
S/N 16.0 27.2 29.3
S/N(c) 18.5 26.8 22.8
SN(E/C) 0.88