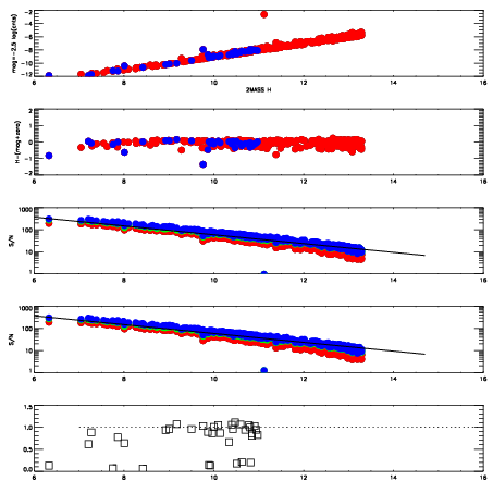
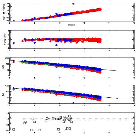
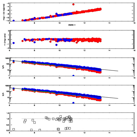
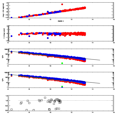
Frame | Nreads | Zeropoints | Mag plots
| Spatial mag deviation
| Spatial sky 16325A emission deviations (filled: sky, open: star)
| Spatial sky continuum emission
| Spatial sky telluric CO2 absorption deviations (filled: H < 10)
|
3490010
| 47
| | Red | Green | Blue
| z | | 18.84
| znorm | | 14.66
| sky | 14.9 | 14.6 | 14.4
| S/N | 14.1 | 24.2 | 24.9
| S/N(c) | 23.9 | 31.2 | 31.9
| SN(E/C) | 0.90
|
|
|
|
|
|
|
3490011
| 47
| | Red | Green | Blue
| z | | 18.80
| znorm | | 14.62
| sky | 15.2 | 15.1 | 14.9
| S/N | 13.6 | 23.5 | 24.6
| S/N(c) | 23.3 | 30.7 | 31.4
| SN(E/C) | 0.92
|
|
|
|
|
|
|
3490012
| 47
| | Red | Green | Blue
| z | | 18.87
| znorm | | 14.69
| sky | 14.9 | 15.1 | 15.0
| S/N | 13.3 | 23.7 | 24.6
| S/N(c) | 24.0 | 31.5 | 32.8
| SN(E/C) | 0.91
|
|
|
|
|
|
|
3490013
| 47
| | Red | Green | Blue
| z | | 18.97
| znorm | | 14.79
| sky | 14.8 | 15.0 | 15.0
| S/N | 14.0 | 24.6 | 25.5
| S/N(c) | 25.2 | 33.0 | 34.3
| SN(E/C) | 0.89
|
|
|
|
|
|
|
3490014
| 47
| | Red | Green | Blue
| z | | 18.99
| znorm | | 14.81
| sky | 14.7 | 14.9 | 14.9
| S/N | 14.0 | 24.4 | 25.7
| S/N(c) | 25.5 | 33.2 | 34.7
| SN(E/C) | 0.92
|
|
|
|
|
|
|
3490015
| 47
| | Red | Green | Blue
| z | | 19.05
| znorm | | 14.87
| sky | 14.8 | 15.0 | 14.8
| S/N | 14.0 | 24.7 | 26.0
| S/N(c) | 26.0 | 34.0 | 35.2
| SN(E/C) | 0.94
|
|
|
|
|
|
|
3490016
| 47
| | Red | Green | Blue
| z | | 19.04
| znorm | | 14.86
| sky | 15.1 | 14.8 | 15.0
| S/N | 13.8 | 23.9 | 25.4
| S/N(c) | 25.6 | 33.5 | 34.8
| SN(E/C) | 0.88
|
|
|
|
|
|
|
3490017
| 47
| | Red | Green | Blue
| z | | 18.85
| znorm | | 14.67
| sky | 15.2 | 15.1 | 14.8
| S/N | 12.4 | 22.0 | 22.7
| S/N(c) | 22.9 | 30.4 | 31.9
| SN(E/C) | 0.91
|
|
|
|
|
|
|