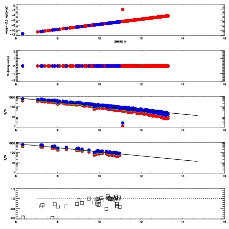
Left plots: red are targets, blue are telluric. Observed mags are calculated from median value of green chip. Zeropoint gives overall throughput: bigger number is more throughput.
First spatial plots: circles are objects, squares are tellurics, crosses are sky fibers. Colors give deviation of observed mag from expected 2MASS mag using the median zeropoint; red is brighter
Second spatial plots: circles are sky fibers. Colors give sky line brightness relative to plate median sky line brightness
FrameNreadsZeropointsMag plots Spatial mag deviation Spatial sky 16325A emission deviations (filled: sky, open: star) Spatial sky continuum emission Spatial sky telluric CO2 absorption deviations (filled: H < 10)
0 0
RedGreenBlue
z17.63
znorm Inf
sky -Inf -NaN -Inf
S/N 23.6 42.9 45.9
S/N(c) 0.0 0.0 0.0
SN(E/C) 0.88

IPAIRNAMESHIFTNEWSHIFTS/N NAMESHIFTNEWSHIFTS/N
0 03490012 0.507215 0.00000 18.8381 03490017 0.00257339 0.504642 18.8121
1 03490015 0.505425 0.00179005 19.0244 03490014 0.000640055 0.506575 18.9662
2 03490016 0.506496 0.000719011 19.0139 03490013 0.000169739 0.507045 18.9450
3 03490011 0.505539 0.00167602 18.7743 03490010 0.00000 0.507215 18.8111