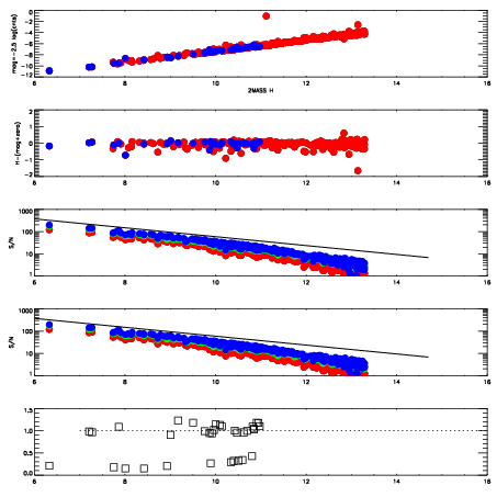
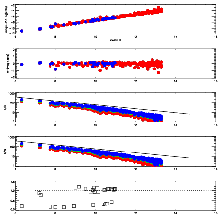
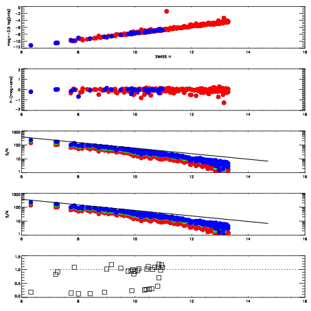
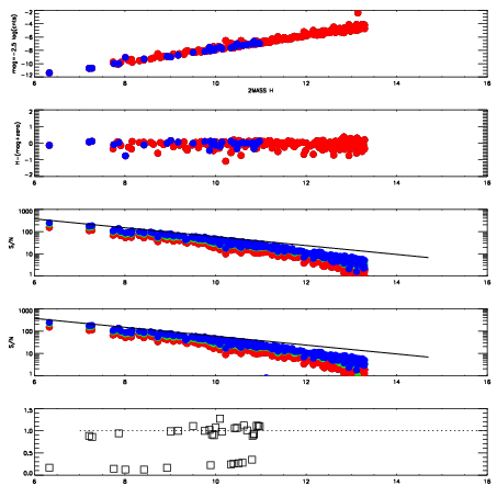
Frame | Nreads | Zeropoints | Mag plots
| Spatial mag deviation
| Spatial sky 16325A emission deviations (filled: sky, open: star)
| Spatial sky continuum emission
| Spatial sky telluric CO2 absorption deviations (filled: H < 10)
|
3140095
| 47
| | Red | Green | Blue
| z | | 17.83
| znorm | | 13.65
| sky | 13.6 | 13.4 | 13.5
| S/N | 5.9 | 10.8 | 11.0
| S/N(c) | 5.8 | 7.4 | 8.6
| SN(E/C) | 0.94
|
|
|
|
|
|
|
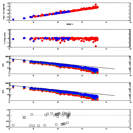
3140096
| 47
| | Red | Green | Blue
| z | | 17.63
| znorm | | 13.45
| sky | 13.6 | 13.5 | 13.6
| S/N | 5.0 | 9.4 | 9.8
| S/N(c) | 4.9 | 6.5 | 7.5
| SN(E/C) | 0.97
|
|
|
|
|
|
|
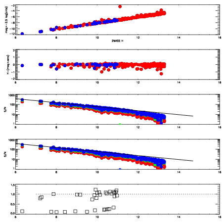
3140097
| 47
| | Red | Green | Blue
| z | | 17.38
| znorm | | 13.20
| sky | 13.5 | 13.4 | 13.6
| S/N | 3.9 | 7.7 | 8.1
| S/N(c) | 4.2 | 5.5 | 6.6
| SN(E/C) | 1.00
|
|
|
|
|
|
|
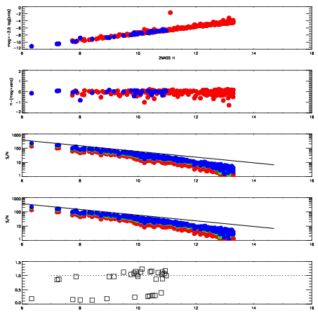
3140098
| 47
| | Red | Green | Blue
| z | | 17.38
| znorm | | 13.20
| sky | 13.4 | 13.4 | 13.6
| S/N | 3.7 | 7.6 | 8.0
| S/N(c) | 4.1 | 5.4 | 6.6
| SN(E/C) | 0.98
|
|
|
|
|
|
|
3140099
| 47
| | Red | Green | Blue
| z | | 17.89
| znorm | | 13.71
| sky | 13.6 | 13.6 | 13.7
| S/N | 6.1 | 11.2 | 12.4
| S/N(c) | 6.1 | 7.7 | 9.1
| SN(E/C) | 1.01
|
|
|
|
|
|
|
3140100
| 47
| | Red | Green | Blue
| z | | 17.71
| znorm | | 13.53
| sky | 13.6 | 13.6 | 13.7
| S/N | 5.4 | 9.9 | 10.2
| S/N(c) | 5.2 | 6.8 | 8.2
| SN(E/C) | 0.95
|
|
|
|
|
|
|
3140101
| 47
| | Red | Green | Blue
| z | | 17.85
| znorm | | 13.67
| sky | 13.7 | 13.6 | 13.7
| S/N | 6.2 | 11.4 | 11.9
| S/N(c) | 5.8 | 7.5 | 8.8
| SN(E/C) | 0.94
|
|
|
|
|
|
|
3140102
| 47
| | Red | Green | Blue
| z | | 18.19
| znorm | | 14.01
| sky | 13.9 | 13.9 | 13.8
| S/N | 8.1 | 14.6 | 15.2
| S/N(c) | 7.4 | 9.1 | 10.9
| SN(E/C) | 0.93
|
|
|
|
|
|
|