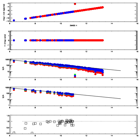
Left plots: red are targets, blue are telluric. Observed mags are calculated from median value of green chip. Zeropoint gives overall throughput: bigger number is more throughput.
First spatial plots: circles are objects, squares are tellurics, crosses are sky fibers. Colors give deviation of observed mag from expected 2MASS mag using the median zeropoint; red is brighter
Second spatial plots: circles are sky fibers. Colors give sky line brightness relative to plate median sky line brightness
FrameNreadsZeropointsMag plots Spatial mag deviation Spatial sky 16325A emission deviations (filled: sky, open: star) Spatial sky continuum emission Spatial sky telluric CO2 absorption deviations (filled: H < 10)
0 0
RedGreenBlue
z17.64
znorm Inf
sky -Inf -Inf -Inf
S/N 17.7 32.3 32.8
S/N(c) 0.0 0.0 0.0
SN(E/C) 0.93

IPAIRNAMESHIFTNEWSHIFTS/N NAMESHIFTNEWSHIFTS/N
0 03960041 0.489323 0.00000 16.0330 03960042 0.000484320 0.488839 17.1246
1 03960044 0.487673 0.00164998 18.8819 03960046 -0.00268200 0.492005 18.8316
2 03960045 0.488645 0.000678003 18.8142 03960039 0.00000 0.489323 18.3922
3 03960040 0.488883 0.000440001 17.4347 03960043 -0.00204541 0.491368 18.1054