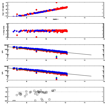
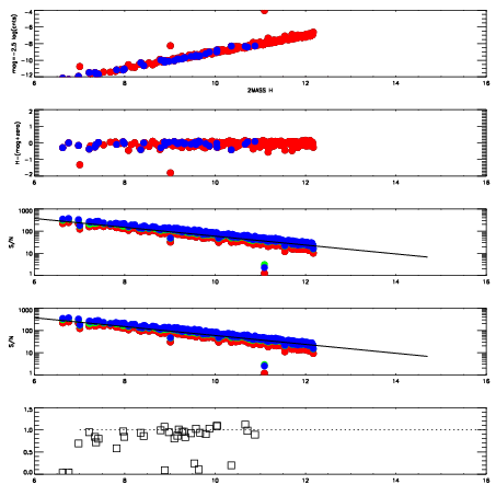
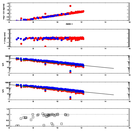
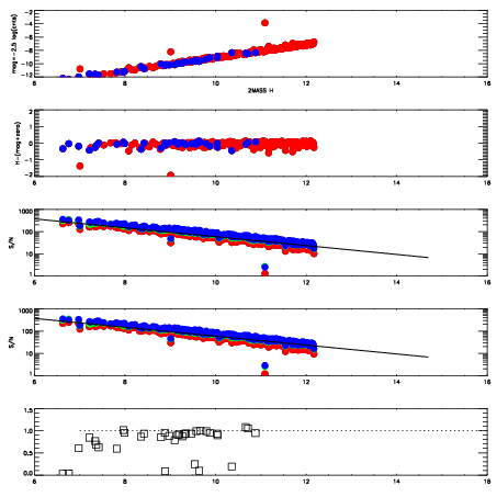
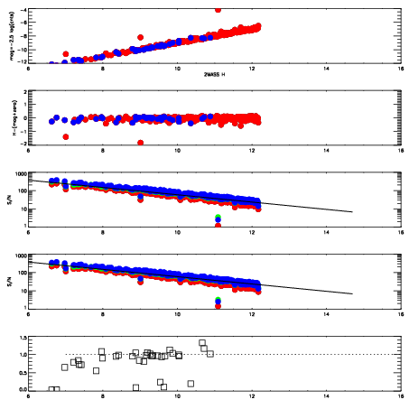
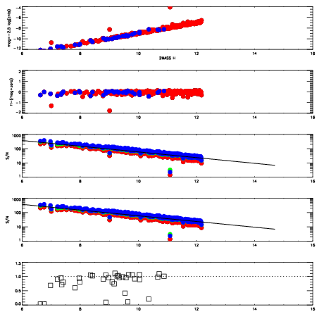
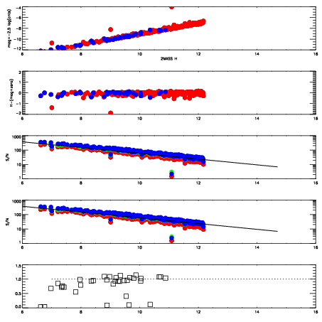
Frame | Nreads | Zeropoints | Mag plots
| Spatial mag deviation
| Spatial sky 16325A emission deviations (filled: sky, open: star)
| Spatial sky continuum emission
| Spatial sky telluric CO2 absorption deviations (filled: H < 10)
|
10430022
| 47
| | Red | Green | Blue
| z | | 19.04
| znorm | | 14.86
| sky | 14.7 | 14.2 | 14.3
| S/N | 16.6 | 25.8 | 26.5
| S/N(c) | 27.3 | 20.8 | 3.6
| SN(E/C) | 0.95
|
|
|
|
|
|
|
10430023
| 47
| | Red | Green | Blue
| z | | 19.11
| znorm | | 14.93
| sky | 14.9 | 14.5 | 14.5
| S/N | 17.0 | 26.8 | 27.6
| S/N(c) | 27.9 | 21.4 | 3.7
| SN(E/C) | 0.93
|
|
|
|
|
|
|
10430024
| 47
| | Red | Green | Blue
| z | | 19.03
| znorm | | 14.85
| sky | 14.8 | 14.6 | 14.6
| S/N | 16.3 | 25.8 | 26.6
| S/N(c) | 26.7 | 20.7 | 3.6
| SN(E/C) | 0.94
|
|
|
|
|
|
|
10430025
| 47
| | Red | Green | Blue
| z | | 19.07
| znorm | | 14.89
| sky | 14.8 | 14.5 | 14.6
| S/N | 16.8 | 26.5 | 27.5
| S/N(c) | 27.5 | 21.0 | 3.7
| SN(E/C) | 0.90
|
|
|
|
|
|
|
10430026
| 47
| | Red | Green | Blue
| z | | 19.09
| znorm | | 14.91
| sky | 14.7 | 14.6 | 14.7
| S/N | 16.7 | 26.7 | 27.7
| S/N(c) | 27.7 | 21.2 | 3.7
| SN(E/C) | 0.93
|
|
|
|
|
|
|
10430027
| 47
| | Red | Green | Blue
| z | | 19.15
| znorm | | 14.97
| sky | 14.9 | 14.6 | 14.6
| S/N | 17.4 | 27.5 | 28.6
| S/N(c) | 28.6 | 21.8 | 3.8
| SN(E/C) | 0.90
|
|
|
|
|
|
|
10430028
| 47
| | Red | Green | Blue
| z | | 19.13
| znorm | | 14.95
| sky | 14.8 | 14.6 | 14.6
| S/N | 17.3 | 27.1 | 28.1
| S/N(c) | 28.3 | 21.6 | 3.8
| SN(E/C) | 0.85
|
|
|
|
|
|
|
10430029
| 47
| | Red | Green | Blue
| z | | 19.14
| znorm | | 14.96
| sky | 14.9 | 14.6 | 14.6
| S/N | 17.1 | 27.4 | 28.4
| S/N(c) | 28.3 | 21.7 | 3.8
| SN(E/C) | 0.90
|
|
|
|
|
|
|