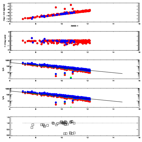
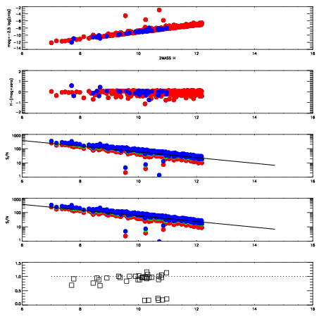
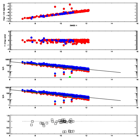
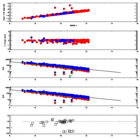
Frame | Nreads | Zeropoints | Mag plots
| Spatial mag deviation
| Spatial sky 16325A emission deviations (filled: sky, open: star)
| Spatial sky continuum emission
| Spatial sky telluric CO2 absorption deviations (filled: H < 10)
|
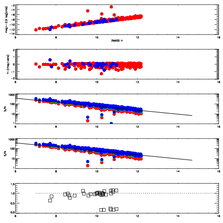
10230038
| 47
| | Red | Green | Blue
| z | | 19.07
| znorm | | 14.89
| sky | 14.4 | 14.1 | 14.1
| S/N | 15.3 | 24.5 | 25.3
| S/N(c) | 20.7 | 25.0 | 8.1
| SN(E/C) | 0.95
|
|
|
|
|
|
|
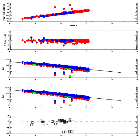
10230039
| 47
| | Red | Green | Blue
| z | | 19.08
| znorm | | 14.90
| sky | 14.4 | 14.2 | 14.2
| S/N | 15.4 | 24.5 | 25.6
| S/N(c) | 20.5 | 25.2 | 8.0
| SN(E/C) | 0.98
|
|
|
|
|
|
|
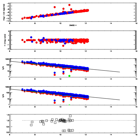
10230040
| 47
| | Red | Green | Blue
| z | | 19.10
| znorm | | 14.92
| sky | 14.4 | 14.2 | 14.3
| S/N | 15.4 | 24.6 | 26.0
| S/N(c) | 20.7 | 25.3 | 8.0
| SN(E/C) | 0.95
|
|
|
|
|
|
|
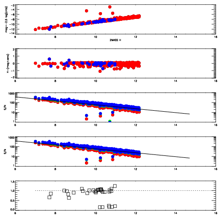
10230041
| 47
| | Red | Green | Blue
| z | | 19.13
| znorm | | 14.95
| sky | 14.5 | 14.2 | 14.2
| S/N | 15.9 | 25.3 | 26.6
| S/N(c) | 21.1 | 25.8 | 8.3
| SN(E/C) | 0.97
|
|
|
|
|
|
|
10230042
| 47
| | Red | Green | Blue
| z | | 19.14
| znorm | | 14.96
| sky | 14.6 | 14.3 | 14.3
| S/N | 16.0 | 25.2 | 26.9
| S/N(c) | 21.3 | 25.9 | 8.3
| SN(E/C) | 0.95
|
|
|
|
|
|
|
10230043
| 47
| | Red | Green | Blue
| z | | 19.11
| znorm | | 14.93
| sky | 14.8 | 14.4 | 14.3
| S/N | 15.8 | 25.1 | 26.3
| S/N(c) | 20.8 | 25.4 | 8.2
| SN(E/C) | 0.95
|
|
|
|
|
|
|
10230044
| 47
| | Red | Green | Blue
| z | | 19.07
| znorm | | 14.89
| sky | 14.4 | 14.2 | 14.4
| S/N | 15.5 | 24.5 | 25.9
| S/N(c) | 20.4 | 24.8 | 8.0
| SN(E/C) | 0.96
|
|
|
|
|
|
|
10230045
| 47
| | Red | Green | Blue
| z | | 19.09
| znorm | | 14.91
| sky | 14.5 | 14.3 | 14.3
| S/N | 15.6 | 24.7 | 26.1
| S/N(c) | 20.8 | 25.2 | 8.1
| SN(E/C) | 0.96
|
|
|
|
|
|
|