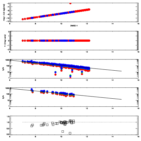
Left plots: red are targets, blue are telluric. Observed mags are calculated from median value of green chip. Zeropoint gives overall throughput: bigger number is more throughput.
First spatial plots: circles are objects, squares are tellurics, crosses are sky fibers. Colors give deviation of observed mag from expected 2MASS mag using the median zeropoint; red is brighter
Second spatial plots: circles are sky fibers. Colors give sky line brightness relative to plate median sky line brightness
FrameNreadsZeropointsMag plots Spatial mag deviation Spatial sky 16325A emission deviations (filled: sky, open: star) Spatial sky continuum emission Spatial sky telluric CO2 absorption deviations (filled: H < 10)
0 0
RedGreenBlue
z17.64
znorm Inf
sky -Inf -Inf -Inf
S/N 24.1 40.3 44.4
S/N(c) 0.0 0.0 0.0
SN(E/C) 0.94

IPAIRNAMESHIFTNEWSHIFTS/N NAMESHIFTNEWSHIFTS/N
0 10270024 0.493994 0.00000 19.1539 10270022 0.00000 0.493994 18.8303
1 10270023 0.493142 0.000851989 19.1613 10270025 0.00136027 0.492634 19.0484
2 10270027 0.493859 0.000135005 18.7943 10270026 0.00135127 0.492643 18.8122
3 10270028 0.493983 1.09971e-05 18.6279 10270029 0.00367988 0.490314 17.7208