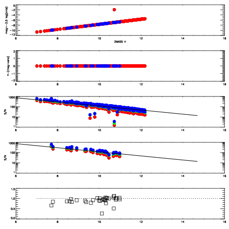
Left plots: red are targets, blue are telluric. Observed mags are calculated from median value of green chip. Zeropoint gives overall throughput: bigger number is more throughput.
First spatial plots: circles are objects, squares are tellurics, crosses are sky fibers. Colors give deviation of observed mag from expected 2MASS mag using the median zeropoint; red is brighter
Second spatial plots: circles are sky fibers. Colors give sky line brightness relative to plate median sky line brightness
FrameNreadsZeropointsMag plots Spatial mag deviation Spatial sky 16325A emission deviations (filled: sky, open: star) Spatial sky continuum emission Spatial sky telluric CO2 absorption deviations (filled: H < 10)
0 0
RedGreenBlue
z17.64
znorm Inf
sky -Inf -Inf -Inf
S/N 24.9 42.7 46.0
S/N(c) 0.0 0.0 0.0
SN(E/C) 0.94

IPAIRNAMESHIFTNEWSHIFTS/N NAMESHIFTNEWSHIFTS/N
0 10520013 0.496824 0.00000 18.9458 10520015 0.00247410 0.494350 18.9651
1 10520014 0.496780 4.39882e-05 18.9016 10520012 0.00000 0.496824 18.9365
2 10520017 0.496273 0.000550985 18.8140 10520019 0.0176756 0.479148 18.8283
3 10520018 0.496525 0.000299007 18.7147 10520016 0.00209502 0.494729 18.8235