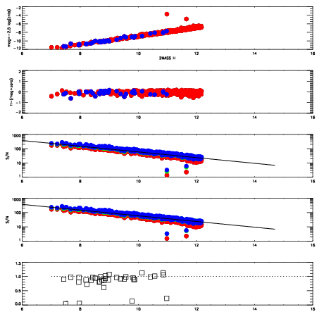
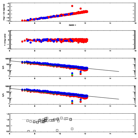
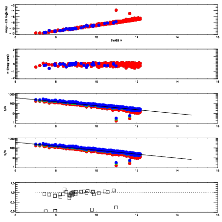
Left plots: red are targets, blue are telluric. Observed mags are calculated from median value of green chip. Zeropoint gives overall throughput: bigger number is more throughput.
First spatial plots: circles are objects, squares are tellurics, crosses are sky fibers. Colors give deviation of observed mag from expected 2MASS mag using the median zeropoint; red is brighter
Second spatial plots: circles are sky fibers. Colors give sky line brightness relative to plate median sky line brightness
FrameNreadsZeropointsMag plots Spatial mag deviation Spatial sky 16325A emission deviations (filled: sky, open: star) Spatial sky continuum emission Spatial sky telluric CO2 absorption deviations (filled: H < 10)
10140011 47
RedGreenBlue
z18.93
znorm14.75
sky 14.6 14.3 14.1
S/N 15.3 24.3 24.4
S/N(c) 15.9 17.1 15.2
SN(E/C) 0.91
10140012 47
RedGreenBlue
z18.93
znorm14.75
sky 14.8 14.7 14.5
S/N 15.4 23.7 24.5
S/N(c) 15.6 17.1 15.1
SN(E/C) 0.93
10140013 47
RedGreenBlue
z18.96
znorm14.78
sky 14.7 14.8 14.7
S/N 15.0 24.1 24.9
S/N(c) 15.7 17.2 15.3
SN(E/C) 0.92
10140014 47
RedGreenBlue
z18.96
znorm14.78
sky 14.9 14.6 14.7
S/N 15.1 23.9 24.4
S/N(c) 15.6 17.2 15.3
SN(E/C) 0.92