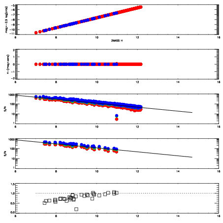
Left plots: red are targets, blue are telluric. Observed mags are calculated from median value of green chip. Zeropoint gives overall throughput: bigger number is more throughput.
First spatial plots: circles are objects, squares are tellurics, crosses are sky fibers. Colors give deviation of observed mag from expected 2MASS mag using the median zeropoint; red is brighter
Second spatial plots: circles are sky fibers. Colors give sky line brightness relative to plate median sky line brightness
FrameNreadsZeropointsMag plots Spatial mag deviation Spatial sky 16325A emission deviations (filled: sky, open: star) Spatial sky continuum emission Spatial sky telluric CO2 absorption deviations (filled: H < 10)
0 0
RedGreenBlue
z17.64
znorm Inf
sky -Inf -Inf -Inf
S/N 29.6 48.1 49.8
S/N(c) 0.0 0.0 0.0
SN(E/C) 0.76

IPAIRNAMESHIFTNEWSHIFTS/N NAMESHIFTNEWSHIFTS/N
0 10240028 0.503274 0.00000 19.0666 10240030 0.00136999 0.501904 19.0869
1 10240032 0.501690 0.00158405 19.0877 10240033 0.00175449 0.501520 19.1137
2 10240031 0.500916 0.00235802 19.0587 10240029 0.00101669 0.502257 19.0802
3 10240027 0.502514 0.000760019 19.0409 10240026 0.00000 0.503274 19.0606