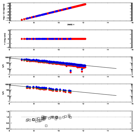
Left plots: red are targets, blue are telluric. Observed mags are calculated from median value of green chip. Zeropoint gives overall throughput: bigger number is more throughput.
First spatial plots: circles are objects, squares are tellurics, crosses are sky fibers. Colors give deviation of observed mag from expected 2MASS mag using the median zeropoint; red is brighter
Second spatial plots: circles are sky fibers. Colors give sky line brightness relative to plate median sky line brightness
FrameNreadsZeropointsMag plots Spatial mag deviation Spatial sky 16325A emission deviations (filled: sky, open: star) Spatial sky continuum emission Spatial sky telluric CO2 absorption deviations (filled: H < 10)
0 0
RedGreenBlue
z17.64
znorm Inf
sky -Inf -Inf -Inf
S/N 20.4 33.6 33.6
S/N(c) 0.0 0.0 0.0
SN(E/C) 0.88

IPAIRNAMESHIFTNEWSHIFTS/N NAMESHIFTNEWSHIFTS/N
0 10420027 0.511860 0.00000 18.8900 10420026 0.00193765 0.509922 18.7907
1 10420024 0.511365 0.000495017 18.8015 10420025 0.00211710 0.509743 18.7337
2 10420023 0.511520 0.000339985 18.6637 10420022 0.00000 0.511860 18.6623