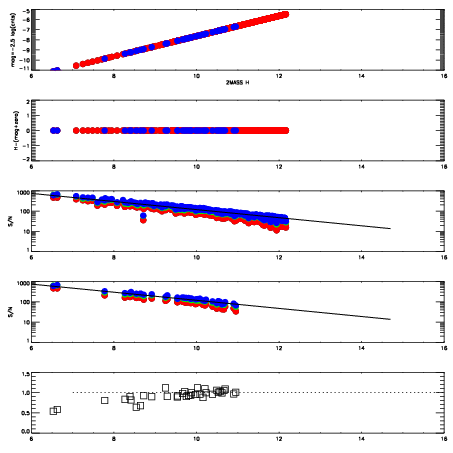
Left plots: red are targets, blue are telluric. Observed mags are calculated from median value of green chip. Zeropoint gives overall throughput: bigger number is more throughput.
First spatial plots: circles are objects, squares are tellurics, crosses are sky fibers. Colors give deviation of observed mag from expected 2MASS mag using the median zeropoint; red is brighter
Second spatial plots: circles are sky fibers. Colors give sky line brightness relative to plate median sky line brightness
FrameNreadsZeropointsMag plots Spatial mag deviation Spatial sky 16325A emission deviations (filled: sky, open: star) Spatial sky continuum emission Spatial sky telluric CO2 absorption deviations (filled: H < 10)
0 0
RedGreenBlue
z17.64
znorm Inf
sky -Inf -NaN -Inf
S/N 23.0 41.1 41.9
S/N(c) 0.0 0.0 0.0
SN(E/C) 0.95

IPAIRNAMESHIFTNEWSHIFTS/N NAMESHIFTNEWSHIFTS/N
0 03440010 0.514343 0.00000 18.6538 03440011 -0.000307520 0.514651 18.6902
1 03440014 0.496763 0.0175800 19.0153 03440015 -0.00241118 0.516754 18.8333
2 03440013 0.494327 0.0200160 18.9215 03440012 -0.00323770 0.517581 18.7183
3 03440009 0.509183 0.00516003 18.5484 03440008 0.00000 0.514343 18.6307