Frame | Nreads | Zeropoints | Mag plots
| Spatial mag deviation
| Spatial sky 16325A emission deviations (filled: sky, open: star)
| Spatial sky continuum emission
| Spatial sky telluric CO2 absorption deviations (filled: H < 10)
|
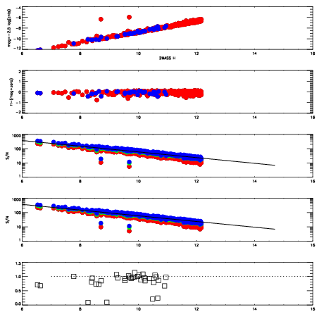
9990026
| 47
| | Red | Green | Blue
| z | | 18.88
| znorm | | 14.70
| sky | 14.6 | 14.5 | 14.3
| S/N | 14.4 | 22.2 | 23.0
| S/N(c) | 27.5 | 27.3 | 13.8
| SN(E/C) | 0.93
|
|
|
|
|
|
|
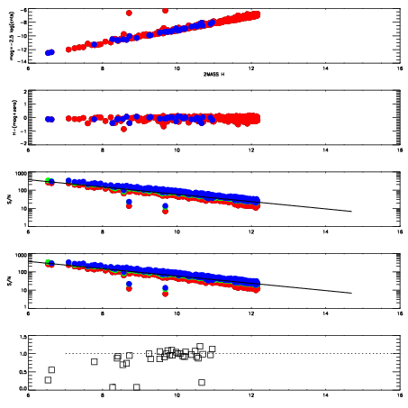
9990027
| 47
| | Red | Green | Blue
| z | | 19.08
| znorm | | 14.90
| sky | 14.6 | 14.5 | 14.6
| S/N | 16.3 | 24.6 | 25.8
| S/N(c) | 30.1 | 30.2 | 15.3
| SN(E/C) | 0.93
|
|
|
|
|
|
|
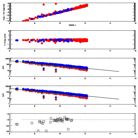
9990028
| 47
| | Red | Green | Blue
| z | | 19.14
| znorm | | 14.96
| sky | 14.7 | 14.6 | 14.8
| S/N | 16.9 | 25.4 | 26.7
| S/N(c) | 31.1 | 30.5 | 15.9
| SN(E/C) | 0.94
|
|
|
|
|
|
|
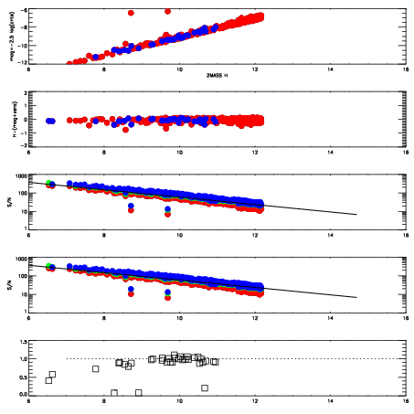
9990029
| 47
| | Red | Green | Blue
| z | | 19.14
| znorm | | 14.96
| sky | 14.6 | 14.6 | 14.7
| S/N | 16.7 | 25.6 | 27.1
| S/N(c) | 30.8 | 30.3 | 15.9
| SN(E/C) | 0.96
|
|
|
|
|
|
|
9990030
| 47
| | Red | Green | Blue
| z | | 19.13
| znorm | | 14.95
| sky | 14.6 | 14.8 | 14.7
| S/N | 16.5 | 25.2 | 26.9
| S/N(c) | 30.7 | 30.2 | 15.7
| SN(E/C) | 0.92
|
|
|
|
|
|
|
9990031
| 47
| | Red | Green | Blue
| z | | 19.06
| znorm | | 14.88
| sky | 14.8 | 14.8 | 14.8
| S/N | 15.8 | 24.4 | 26.3
| S/N(c) | 29.5 | 29.2 | 15.5
| SN(E/C) | 0.91
|
|
|
|
|
|
|
9990032
| 47
| | Red | Green | Blue
| z | | 19.15
| znorm | | 14.97
| sky | 14.6 | 14.7 | 14.8
| S/N | 17.0 | 25.6 | 27.7
| S/N(c) | 31.0 | 30.5 | 16.1
| SN(E/C) | 0.94
|
|
|
|
|
|
|
9990033
| 47
| | Red | Green | Blue
| z | | 18.81
| znorm | | 14.63
| sky | 14.6 | 14.7 | 14.7
| S/N | 13.3 | 21.3 | 23.1
| S/N(c) | 25.1 | 25.3 | 13.6
| SN(E/C) | 0.93
|
|
|
|
|
|
|