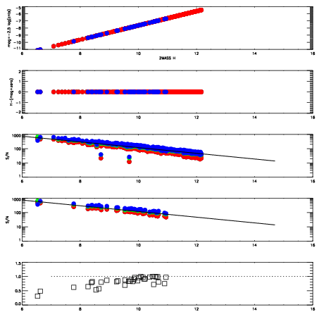
Left plots: red are targets, blue are telluric. Observed mags are calculated from median value of green chip. Zeropoint gives overall throughput: bigger number is more throughput.
First spatial plots: circles are objects, squares are tellurics, crosses are sky fibers. Colors give deviation of observed mag from expected 2MASS mag using the median zeropoint; red is brighter
Second spatial plots: circles are sky fibers. Colors give sky line brightness relative to plate median sky line brightness
FrameNreadsZeropointsMag plots Spatial mag deviation Spatial sky 16325A emission deviations (filled: sky, open: star) Spatial sky continuum emission Spatial sky telluric CO2 absorption deviations (filled: H < 10)
0 0
RedGreenBlue
z17.64
znorm Inf
sky -NaN -NaN -Inf
S/N 28.4 45.6 49.2
S/N(c) 0.0 0.0 0.0
SN(E/C) 0.84

IPAIRNAMESHIFTNEWSHIFTS/N NAMESHIFTNEWSHIFTS/N
0 09990028 0.518182 0.00000 19.1386 09990030 0.00193113 0.516251 19.1247
1 09990032 0.516412 0.00176996 19.1507 09990029 0.00195713 0.516225 19.1419
2 09990027 0.518091 9.09567e-05 19.0791 09990026 0.00000 0.518182 18.8612
3 09990031 0.516496 0.00168598 19.0530 09990033 0.000641830 0.517540 18.7985