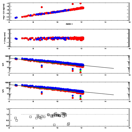
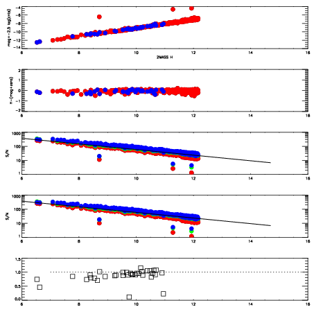
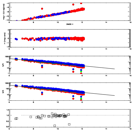
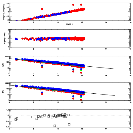
Frame | Nreads | Zeropoints | Mag plots
| Spatial mag deviation
| Spatial sky 16325A emission deviations (filled: sky, open: star)
| Spatial sky continuum emission
| Spatial sky telluric CO2 absorption deviations (filled: H < 10)
|
10160039
| 47
| | Red | Green | Blue
| z | | 19.08
| znorm | | 14.90
| sky | 14.7 | 14.3 | 14.3
| S/N | 15.7 | 24.7 | 24.7
| S/N(c) | 27.9 | 28.7 | 27.4
| SN(E/C) | 0.91
|
|
|
|
|
|
|
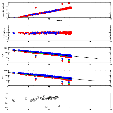
10160040
| 47
| | Red | Green | Blue
| z | | 19.04
| znorm | | 14.86
| sky | 14.7 | 14.4 | 14.6
| S/N | 15.4 | 24.2 | 24.3
| S/N(c) | 27.3 | 28.3 | 27.2
| SN(E/C) | 0.94
|
|
|
|
|
|
|
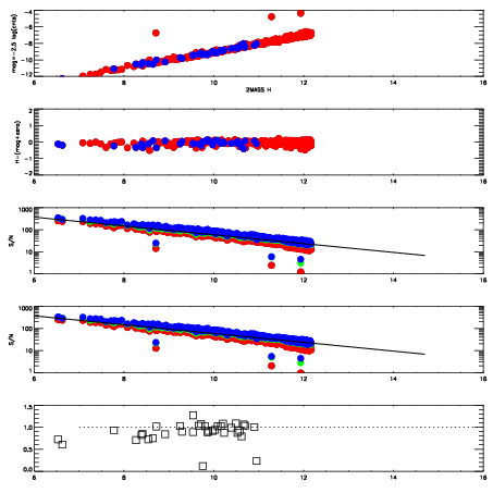
10160041
| 47
| | Red | Green | Blue
| z | | 19.10
| znorm | | 14.92
| sky | 14.8 | 14.6 | 14.6
| S/N | 15.6 | 25.3 | 25.4
| S/N(c) | 28.1 | 29.1 | 28.0
| SN(E/C) | 0.94
|
|
|
|
|
|
|
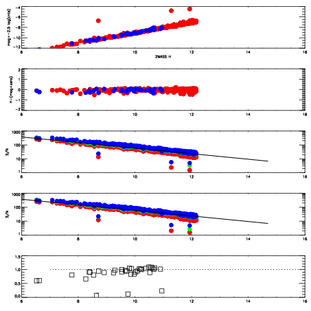
10160042
| 47
| | Red | Green | Blue
| z | | 19.05
| znorm | | 14.87
| sky | 14.8 | 14.5 | 14.6
| S/N | 15.1 | 24.2 | 24.8
| S/N(c) | 27.2 | 28.6 | 27.4
| SN(E/C) | 0.94
|
|
|
|
|
|
|
10160043
| 47
| | Red | Green | Blue
| z | | 19.06
| znorm | | 14.88
| sky | 14.7 | 14.6 | 14.6
| S/N | 15.5 | 24.5 | 25.2
| S/N(c) | 27.8 | 28.9 | 27.6
| SN(E/C) | 0.92
|
|
|
|
|
|
|
10160044
| 47
| | Red | Green | Blue
| z | | 19.16
| znorm | | 14.98
| sky | 14.8 | 14.6 | 14.7
| S/N | 16.5 | 25.8 | 26.9
| S/N(c) | 29.2 | 30.2 | 29.0
| SN(E/C) | 0.90
|
|
|
|
|
|
|
10160045
| 47
| | Red | Green | Blue
| z | | 19.09
| znorm | | 14.91
| sky | 14.6 | 14.6 | 14.7
| S/N | 15.4 | 25.0 | 26.1
| S/N(c) | 27.9 | 29.0 | 28.2
| SN(E/C) | 0.92
|
|
|
|
|
|
|
10160046
| 47
| | Red | Green | Blue
| z | | 19.14
| znorm | | 14.96
| sky | 14.8 | 14.5 | 14.7
| S/N | 15.9 | 25.5 | 26.9
| S/N(c) | 28.7 | 29.8 | 29.2
| SN(E/C) | 0.88
|
|
|
|
|
|
|