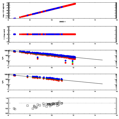
Left plots: red are targets, blue are telluric. Observed mags are calculated from median value of green chip. Zeropoint gives overall throughput: bigger number is more throughput.
First spatial plots: circles are objects, squares are tellurics, crosses are sky fibers. Colors give deviation of observed mag from expected 2MASS mag using the median zeropoint; red is brighter
Second spatial plots: circles are sky fibers. Colors give sky line brightness relative to plate median sky line brightness
FrameNreadsZeropointsMag plots Spatial mag deviation Spatial sky 16325A emission deviations (filled: sky, open: star) Spatial sky continuum emission Spatial sky telluric CO2 absorption deviations (filled: H < 10)
0 0
RedGreenBlue
z17.64
znorm Inf
sky -Inf -Inf -Inf
S/N 27.7 46.0 48.3
S/N(c) 0.0 0.0 0.0
SN(E/C) 0.88

IPAIRNAMESHIFTNEWSHIFTS/N NAMESHIFTNEWSHIFTS/N
0 10160045 0.506558 0.00000 19.0783 10160043 0.00100267 0.505555 19.0468
1 10160044 0.506357 0.000200987 19.1453 10160046 0.000565658 0.505992 19.1322
2 10160041 0.499971 0.00658700 19.0912 10160039 0.00000 0.506558 19.0676
3 10160040 0.499519 0.00703901 19.0322 10160042 0.00118555 0.505372 19.0353