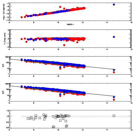
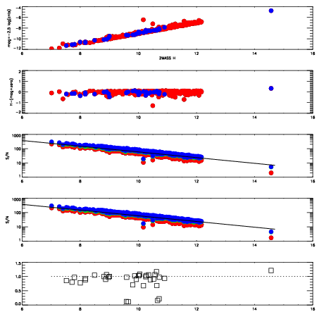
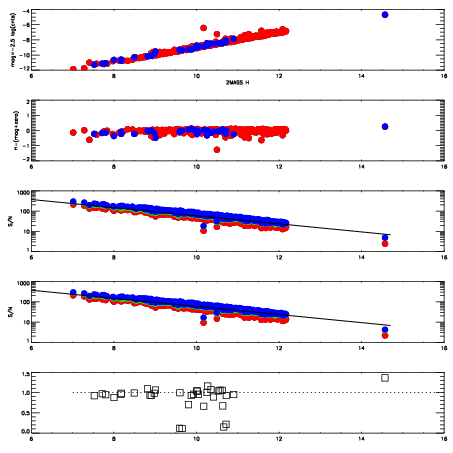
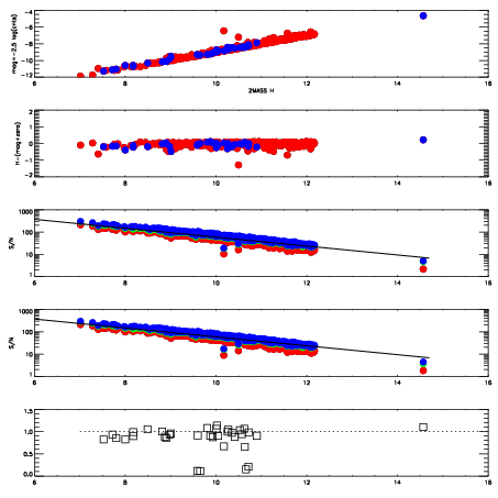
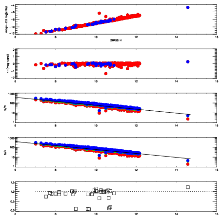
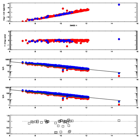
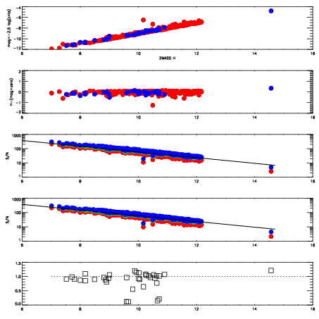
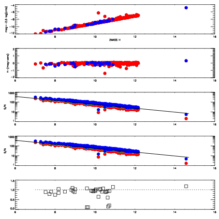
Frame | Nreads | Zeropoints | Mag plots
| Spatial mag deviation
| Spatial sky 16325A emission deviations (filled: sky, open: star)
| Spatial sky continuum emission
| Spatial sky telluric CO2 absorption deviations (filled: H < 10)
|
6950025
| 47
| | Red | Green | Blue
| z | | 19.15
| znorm | | 14.97
| sky | 14.6 | 14.1 | 14.1
| S/N | 17.5 | 26.6 | 27.9
| S/N(c) | 34.7 | 22.2 | 25.3
| SN(E/C) | 0.95
|
|
|
|
|
|
|
6950026
| 47
| | Red | Green | Blue
| z | | 19.12
| znorm | | 14.94
| sky | 14.7 | 14.1 | 14.4
| S/N | 17.3 | 26.3 | 28.0
| S/N(c) | 33.9 | 22.0 | 25.3
| SN(E/C) | 0.93
|
|
|
|
|
|
|
6950027
| 47
| | Red | Green | Blue
| z | | 19.06
| znorm | | 14.88
| sky | 14.5 | 14.3 | 14.5
| S/N | 16.4 | 25.7 | 27.0
| S/N(c) | 32.5 | 21.3 | 24.4
| SN(E/C) | 0.95
|
|
|
|
|
|
|
6950028
| 47
| | Red | Green | Blue
| z | | 18.99
| znorm | | 14.81
| sky | 14.6 | 14.4 | 14.5
| S/N | 15.4 | 24.7 | 25.8
| S/N(c) | 31.1 | 20.4 | 23.5
| SN(E/C) | 0.91
|
|
|
|
|
|
|
6950029
| 47
| | Red | Green | Blue
| z | | 18.99
| znorm | | 14.81
| sky | 14.7 | 14.4 | 14.5
| S/N | 15.3 | 24.7 | 25.8
| S/N(c) | 31.2 | 20.6 | 23.6
| SN(E/C) | 0.97
|
|
|
|
|
|
|
6950030
| 47
| | Red | Green | Blue
| z | | 19.01
| znorm | | 14.83
| sky | 14.9 | 14.5 | 14.5
| S/N | 16.0 | 24.9 | 26.1
| S/N(c) | 31.6 | 20.8 | 23.9
| SN(E/C) | 0.96
|
|
|
|
|
|
|
6950031
| 47
| | Red | Green | Blue
| z | | 19.02
| znorm | | 14.84
| sky | 14.7 | 14.5 | 14.4
| S/N | 15.6 | 25.0 | 26.0
| S/N(c) | 32.0 | 20.8 | 24.0
| SN(E/C) | 0.94
|
|
|
|
|
|
|
6950032
| 47
| | Red | Green | Blue
| z | | 19.05
| znorm | | 14.87
| sky | 14.5 | 14.5 | 14.5
| S/N | 15.9 | 25.7 | 26.6
| S/N(c) | 32.3 | 21.2 | 24.5
| SN(E/C) | 0.96
|
|
|
|
|
|
|