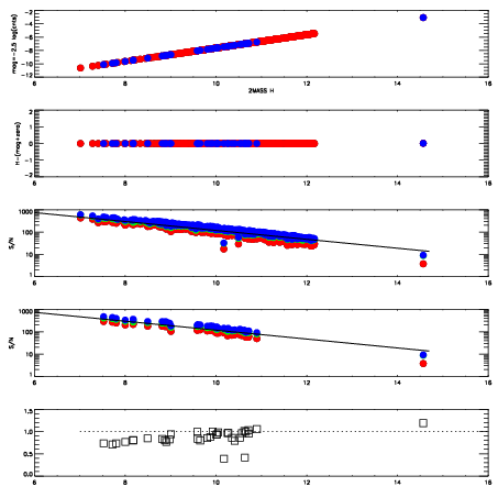
Left plots: red are targets, blue are telluric. Observed mags are calculated from median value of green chip. Zeropoint gives overall throughput: bigger number is more throughput.
First spatial plots: circles are objects, squares are tellurics, crosses are sky fibers. Colors give deviation of observed mag from expected 2MASS mag using the median zeropoint; red is brighter
Second spatial plots: circles are sky fibers. Colors give sky line brightness relative to plate median sky line brightness
FrameNreadsZeropointsMag plots Spatial mag deviation Spatial sky 16325A emission deviations (filled: sky, open: star) Spatial sky continuum emission Spatial sky telluric CO2 absorption deviations (filled: H < 10)
0 0
RedGreenBlue
z17.64
znorm Inf
sky -Inf -NaN -Inf
S/N 29.3 47.6 50.2
S/N(c) 0.0 0.0 0.0
SN(E/C) 0.86

IPAIRNAMESHIFTNEWSHIFTS/N NAMESHIFTNEWSHIFTS/N
0 06950027 0.498622 0.00000 19.0530 06950032 0.000621803 0.498000 19.0392
1 06950026 0.498078 0.000544012 19.1154 06950025 0.00000 0.498622 19.1428
2 06950031 0.494287 0.00433499 19.0117 06950029 -0.000991197 0.499613 18.9781
3 06950030 0.493401 0.00522101 19.0028 06950028 -0.00163793 0.500260 18.9768