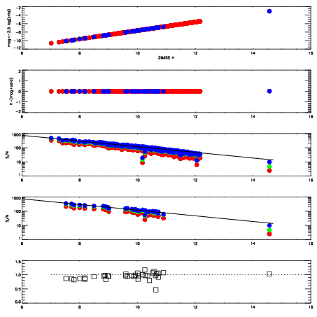
Left plots: red are targets, blue are telluric. Observed mags are calculated from median value of green chip. Zeropoint gives overall throughput: bigger number is more throughput.
First spatial plots: circles are objects, squares are tellurics, crosses are sky fibers. Colors give deviation of observed mag from expected 2MASS mag using the median zeropoint; red is brighter
Second spatial plots: circles are sky fibers. Colors give sky line brightness relative to plate median sky line brightness
FrameNreadsZeropointsMag plots Spatial mag deviation Spatial sky 16325A emission deviations (filled: sky, open: star) Spatial sky continuum emission Spatial sky telluric CO2 absorption deviations (filled: H < 10)
0 0
RedGreenBlue
z17.64
znorm Inf
sky -Inf -Inf -Inf
S/N 19.8 34.7 36.1
S/N(c) 0.0 0.0 0.0
SN(E/C) 0.96

IPAIRNAMESHIFTNEWSHIFTS/N NAMESHIFTNEWSHIFTS/N
0 07220012 0.482417 0.00000 18.4001 07220015 0.00183311 0.480584 18.5829
1 07220016 0.480685 0.00173199 18.5478 07220011 0.00000 0.482417 18.7815
2 07220017 0.481468 0.000948995 18.5036 07220018 0.00471557 0.477701 18.6505
3 07220013 0.482376 4.09782e-05 18.3661 07220014 0.00520406 0.477213 18.3881