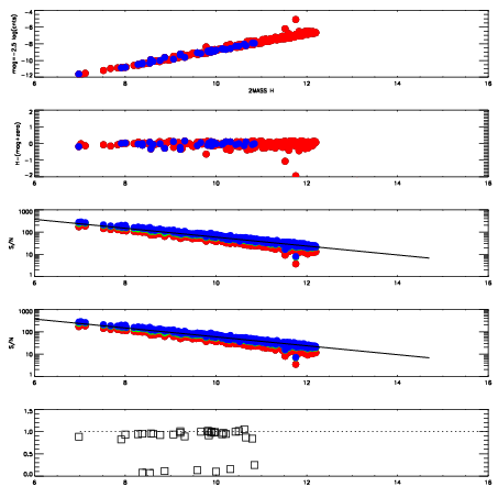
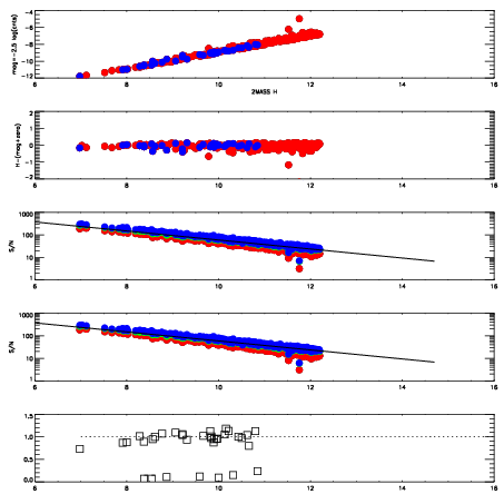
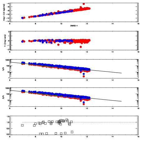
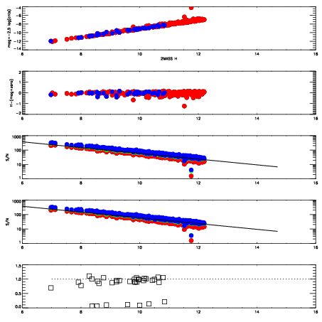
Frame | Nreads | Zeropoints | Mag plots
| Spatial mag deviation
| Spatial sky 16325A emission deviations (filled: sky, open: star)
| Spatial sky continuum emission
| Spatial sky telluric CO2 absorption deviations (filled: H < 10)
|
2930008
| 47
| | Red | Green | Blue
| z | | 19.08
| znorm | | 14.90
| sky | 14.4 | 14.6 | 14.3
| S/N | 16.3 | 26.7 | 27.5
| S/N(c) | 17.5 | 14.1 | 9.1
| SN(E/C) | 0.93
|
|
|
|
|
|
|
2930009
| 47
| | Red | Green | Blue
| z | | 18.83
| znorm | | 14.65
| sky | 14.8 | 14.7 | 15.0
| S/N | 13.9 | 23.3 | 24.1
| S/N(c) | 15.0 | 12.6 | 8.0
| SN(E/C) | 0.98
|
|
|
|
|
|
|
2930010
| 47
| | Red | Green | Blue
| z | | 18.79
| znorm | | 14.61
| sky | 14.9 | 15.0 | 14.9
| S/N | 13.3 | 22.5 | 23.5
| S/N(c) | 14.9 | 12.5 | 7.8
| SN(E/C) | 0.94
|
|
|
|
|
|
|
2930011
| 47
| | Red | Green | Blue
| z | | 18.89
| znorm | | 14.71
| sky | 14.8 | 14.9 | 14.9
| S/N | 14.2 | 23.8 | 24.6
| S/N(c) | 15.9 | 13.3 | 8.3
| SN(E/C) | 0.95
|
|
|
|
|
|
|
2930012
| 47
| | Red | Green | Blue
| z | | 18.92
| znorm | | 14.74
| sky | 14.8 | 14.9 | 14.9
| S/N | 14.3 | 23.8 | 25.2
| S/N(c) | 15.9 | 13.2 | 8.4
| SN(E/C) | 0.96
|
|
|
|
|
|
|
2930013
| 47
| | Red | Green | Blue
| z | | 19.06
| znorm | | 14.88
| sky | 14.6 | 14.9 | 14.8
| S/N | 15.6 | 25.8 | 27.4
| S/N(c) | 17.3 | 14.3 | 9.1
| SN(E/C) | 0.95
|
|
|
|
|
|
|
2930014
| 47
| | Red | Green | Blue
| z | | 19.12
| znorm | | 14.94
| sky | 14.6 | 14.8 | 14.8
| S/N | 16.3 | 26.5 | 28.3
| S/N(c) | 17.8 | 14.7 | 9.5
| SN(E/C) | 0.91
|
|
|
|
|
|
|
2930015
| 47
| | Red | Green | Blue
| z | | 19.21
| znorm | | 15.03
| sky | 14.8 | 14.9 | 14.8
| S/N | 17.1 | 28.0 | 29.7
| S/N(c) | 18.6 | 15.3 | 9.9
| SN(E/C) | 0.94
|
|
|
|
|
|
|