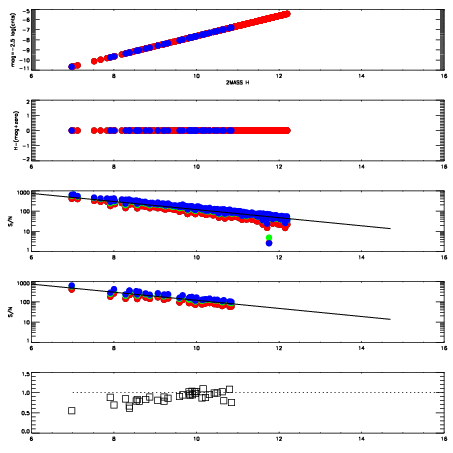
Left plots: red are targets, blue are telluric. Observed mags are calculated from median value of green chip. Zeropoint gives overall throughput: bigger number is more throughput.
First spatial plots: circles are objects, squares are tellurics, crosses are sky fibers. Colors give deviation of observed mag from expected 2MASS mag using the median zeropoint; red is brighter
Second spatial plots: circles are sky fibers. Colors give sky line brightness relative to plate median sky line brightness
FrameNreadsZeropointsMag plots Spatial mag deviation Spatial sky 16325A emission deviations (filled: sky, open: star) Spatial sky continuum emission Spatial sky telluric CO2 absorption deviations (filled: H < 10)
0 0
RedGreenBlue
z17.64
znorm Inf
sky -Inf -Inf -NaN
S/N 27.0 45.4 48.8
S/N(c) 0.0 0.0 0.0
SN(E/C) 0.89

IPAIRNAMESHIFTNEWSHIFTS/N NAMESHIFTNEWSHIFTS/N
0 03200023 0.509474 0.00000 18.9548 03200024 -0.000876838 0.510351 19.0967
1 03200022 0.501918 0.00755596 18.9980 03200025 -0.00226796 0.511742 19.1682
2 03200026 0.496450 0.0130240 18.9534 03200028 -0.00266825 0.512142 18.9872
3 03200027 0.504651 0.00482297 18.7229 03200021 0.00000 0.509474 18.9028