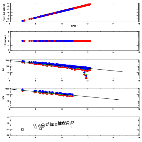
Left plots: red are targets, blue are telluric. Observed mags are calculated from median value of green chip. Zeropoint gives overall throughput: bigger number is more throughput.
First spatial plots: circles are objects, squares are tellurics, crosses are sky fibers. Colors give deviation of observed mag from expected 2MASS mag using the median zeropoint; red is brighter
Second spatial plots: circles are sky fibers. Colors give sky line brightness relative to plate median sky line brightness
FrameNreadsZeropointsMag plots Spatial mag deviation Spatial sky 16325A emission deviations (filled: sky, open: star) Spatial sky continuum emission Spatial sky telluric CO2 absorption deviations (filled: H < 10)
0 0
RedGreenBlue
z17.64
znorm Inf
sky -Inf -NaN -Inf
S/N 26.1 46.7 50.1
S/N(c) 0.0 0.0 0.0
SN(E/C) 0.93

IPAIRNAMESHIFTNEWSHIFTS/N NAMESHIFTNEWSHIFTS/N
0 03410054 0.497527 0.00000 18.9910 03410055 -0.000990392 0.498517 19.0656
1 03410050 0.496434 0.00109300 18.9149 03410052 -0.00167840 0.499205 19.0211
2 03410049 0.495238 0.00228900 18.8912 03410051 -0.00194073 0.499468 18.9721
3 03410053 0.496665 0.000862002 18.7977 03410048 0.00000 0.497527 18.9134