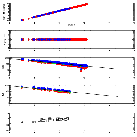
Left plots: red are targets, blue are telluric. Observed mags are calculated from median value of green chip. Zeropoint gives overall throughput: bigger number is more throughput.
First spatial plots: circles are objects, squares are tellurics, crosses are sky fibers. Colors give deviation of observed mag from expected 2MASS mag using the median zeropoint; red is brighter
Second spatial plots: circles are sky fibers. Colors give sky line brightness relative to plate median sky line brightness
FrameNreadsZeropointsMag plots Spatial mag deviation Spatial sky 16325A emission deviations (filled: sky, open: star) Spatial sky continuum emission Spatial sky telluric CO2 absorption deviations (filled: H < 10)
0 0
RedGreenBlue
z17.64
znorm Inf
sky -NaN -NaN -Inf
S/N 28.1 48.5 53.3
S/N(c) 0.0 0.0 0.0
SN(E/C) 0.94

IPAIRNAMESHIFTNEWSHIFTS/N NAMESHIFTNEWSHIFTS/N
0 03700044 0.497712 0.00000 19.1466 03700042 -0.00210668 0.499819 19.1896
1 03700043 0.491413 0.00629899 19.1187 03700041 -0.00131754 0.499030 19.0661
2 03700040 0.497208 0.000503987 18.9720 03700045 -0.00133335 0.499045 19.0290
3 03700039 0.494414 0.00329798 18.9243 03700038 0.00000 0.497712 18.8553