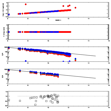
Left plots: red are targets, blue are telluric. Observed mags are calculated from median value of green chip. Zeropoint gives overall throughput: bigger number is more throughput.
First spatial plots: circles are objects, squares are tellurics, crosses are sky fibers. Colors give deviation of observed mag from expected 2MASS mag using the median zeropoint; red is brighter
Second spatial plots: circles are sky fibers. Colors give sky line brightness relative to plate median sky line brightness
FrameNreadsZeropointsMag plots Spatial mag deviation Spatial sky 16325A emission deviations (filled: sky, open: star) Spatial sky continuum emission Spatial sky telluric CO2 absorption deviations (filled: H < 10)
0 0
RedGreenBlue
z17.64
znorm Inf
sky -Inf -Inf -Inf
S/N 19.0 33.9 36.1
S/N(c) 0.0 0.0 0.0
SN(E/C) 0.87

IPAIRNAMESHIFTNEWSHIFTS/N NAMESHIFTNEWSHIFTS/N
0 03190062 0.510259 0.00000 18.7367 03190059 7.06963e-05 0.510188 18.6959
1 03190057 0.494491 0.0157680 18.8289 03190056 0.00000 0.510259 18.8561
2 03190061 0.500431 0.00982797 18.5986 03190063 0.00184496 0.508414 18.6820
3 03190058 0.499961 0.0102980 18.4429 03190060 -0.00228841 0.512547 18.5509